Математические алгоритмы перевода dB в понятные показатели измерений. Часть 2
Магазин Gtest(R)
предлагает широкую номенклатуру осциллографов на приводимой страничке сайта в
самом конце настоящего
Раздела, а также рекомендуемые приборы и статьи для
самообразования
3 Преобразование децибел в проценты и наоборот. Часть 2
Термин «процент» происходит от латинского языка и буквально означает «на сотню». 1% означает одна сотая часть стоимости.
1% of x = 0.01 ▪ x
При использовании процентов нам нужно задать два вопроса:
▪ Мы рассчитываем величины напряжения или мощности?
▪ Нас интересует x% количества или x% больше или меньше определённого количества? Как упоминалось выше, величинами напряжения являются, например, напряжение, ток, напряженность поля и коэффициент отражения. Величины мощности включают мощность, сопротивление, коэффициент шума и плотность потока мощности.
3.1 Преобразование % напряжения в децибелы и наоборот
x% величины напряжения преобразуется в децибелы следующим образом:

Другими словами: чтобы получить значение x% в децибелах, мы должны сначала преобразовать процентное значение x в рациональное число, разделив x на 100. Чтобы преобразовать в децибелы, мы умножаем логарифм этого рационального числа на 20 (величина напряжения : 20), как показано выше.
Пример:
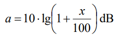
Предположим, что выходное напряжение двухполюсной схемы равно 3% входного напряжения.
Каково затухание a в дБ?

Мы можем преобразовать значение децибел a в проценты следующим образом:

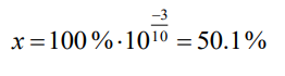
Пример:
Рассчитайте выходное напряжение аттенюатора 3 дБ в процентах от входного напряжения.

Выходное напряжение аттенюатора 3 дБ равно 71% входного напряжения. Примечание. Затухание означает отрицательные значения в децибелах!
3.2 Преобразование % мощности в децибелы и наоборот
x% мощности преобразуется в децибелы следующим образом:

Чтобы получить значение в децибелах, мы сначала преобразуем процентное значение x в рациональное число (как показано выше), разделив число на 100. Чтобы преобразовать в децибелы (как описано в разделе 2), мы умножаем логарифм этого рационального числа. на 10 (количество мощности: 10).
Пример:
Предположим, что выходная мощность двухполюсной схемы равна 3% входной мощности. Каково затухание a в дБ?

Мы можем преобразовать значение децибелa в проценты следующим образом:

Пример:
Рассчитайте выходную мощность аттенюатора на 3 дБ в процентах от входной мощности.

Мощность на выходе аттенюатора 3 дБ вдвое меньше (50%) входной мощности. Примечание. Как указано выше, затухание означает отрицательные значения в децибелах!
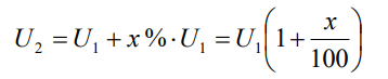
3.3 Преобразование % напряжения больше или меньше в децибелы
На x% больше (или меньше) значения означает, что мы добавляем (или вычитаем) заданный процент «к» (или «из») начального значения. Например, если предполагается, что выходное напряжение U2 усилителя на x% превышает входное напряжение U1, мы рассчитываем следующим образом:

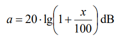
Если выходное напряжение меньше входного, то x должно быть отрицательным значением. Для преобразования в значение децибела требуется следующая формула:

Примечание. Для величин напряжения используйте коэффициент 20.
Пример:
Выходное напряжение усилителя на 12,2% превышает входное напряжение. Каков выигрыш в децибелах?
Обратите внимание, что, начиная даже с относительно небольших процентных значений, данный плюсовый процент приведет к другому значению в децибелах, чем соответствующий минус процент.
20% результатов в +1,58 дБ
На 20% меньше это -1,94 дБ
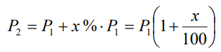
3.4 Преобразование % мощности больше или меньше в децибелы
Аналогично формуле напряжения, для мощности имеем следующее:

Для преобразования в значение децибела требуется следующая формула:

Примечание. Для величин мощности используйте коэффициент 10.
Пример:
Выходная мощность аттенюатора на 20% меньше входной мощности. Каково затухание в децибелах?

Как и прежде, мы можем ожидать асимметрии значений децибел, начиная с даже небольших процентных значений.
4. Использование значений дБ в вычислениях
В этом разделе показано, как складывать уровни мощности и напряжения в логарифмической форме, то есть в децибелах.
4.1 Добавление уровней мощности
А правда, что 30 дБм + 30 дБм = 60 дБм? Конечно, нет! Если преобразовать эти уровни мощности в линейные значения, то очевидно, что 1 Вт + 1 Вт = 2 Вт. Это 33 дБм, а не 60 дБм. Однако это верно только в том случае, если добавляемые уровни мощности не коррелируют. Некоррелированный означает, что мгновенные значения уровней мощности не имеют фиксированной фазовой зависимости друг от друга.
Примечание. Перед сложением необходимо преобразовать уровни мощности в логарифмические единицы, чтобы мы могли складывать линейные значения. Если после сложения удобнее работать со значениями в децибелах, нам придется преобразовать сумму обратно в дБм.
Пример:
Мы хотим добавить три сигнала P1, P2 и P3 с уровнями 0 дБм, +3 дБм и -6 дБм. Каков общий уровень мощности?

Переведя обратно в децибелы, получим

Общий уровень мощности составляет 5,12 дБм.
4.2 Измерение сигналов на пределе шума
Одна из распространенных задач включает измерение слабых сигналов, близких к пределу шума испытательного прибора, такого как приемник или анализатор спектра. Тестовый прибор отображает общую сумму собственного шума и мощности сигнала, но в идеале он должен отображать только мощность сигнала. Предпосылкой для следующего расчета является то, что
тестовый прибор должен отображать среднеквадратичную мощность сигналов (RMS). Обычно это происходит с измерителями мощности, но с анализаторами спектра необходимо включить детектор среднеквадратичных значений.
Сначала определяем собственный шум Lr испытательного прибора, отключив сигнал. Затем мы измеряем сигнал с шумом Ltot. Мы можем получить только мощность P сигнала, вычитая значения линейной мощности.
Пример:
Отображаемый шум Lr измерителя мощности равен -70 дБм. При подаче сигнала отображаемое значение увеличивается до Ltot = -65 дБм.
Каков уровень мощности сигнала в дБм?

Уровень мощности сигнала составляет -66,6 дБм.
Мы видим, что без какой-либо компенсации шум испытательного прибора приведет к ошибке отображения в 1,6 дБ, что относительно велико для прецизионного испытательного прибора.
4.3 Добавление напряжения
Аналогично, мы можем добавить значения в децибелах для величин напряжения, только если предварительно преобразуем их из логарифмических единиц. Мы также должны знать, коррелированые или некоррелированные напряжения. Если напряжения коррелированы, мы также должны знать фазовое соотношение напряжений.

Рис. 4-1: Сложение двух некоррелированных напряжений
Мы складываем некоррелированные напряжения квадратично, т. е. фактически складываем соответствующие уровни мощности. Поскольку сопротивление, на которое подается напряжение, одинаково для всех сигналов, сопротивление исчезнет из формулы:

Если отдельные напряжения указаны как уровни, например в дБ(В), необходимо сначала преобразовать их в линейные значения.
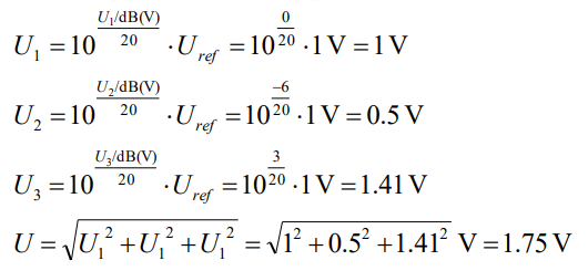
Пример:
Складываем три некоррелированных напряжения L1 = 0 дБ(В), L2 = -6 дБ(В) и L3 = +3 дБ(В) следующим образом, чтобы получить общее напряжение U:

После преобразования U в дБ(В) получаем:

Если напряжения коррелированы, вычисления существенно усложняются. Как видно из следующих рисунков, фазовый угол напряжений определяет общее вырабатываемое напряжение.

Рис. 4-2: Сложение двух коррелированных напряжений, фазовый угол 0°
Синий представляет напряжение U1, зеленый — напряжение U2, а красный — общее напряжение U.

Рис. 4-3: Сложение двух коррелированных напряжений, фазовый угол 90°

Рис. 4-4: Сложение двух коррелированных напряжений, фазовый угол 180°
Общее напряжение U варьируется от Umax = U1 + U2 для угла сдвига фаз 0° (синфазно) до
Umin = U1 – U2 для фазового угла 180° (противоположная фаза). Для промежуточных фазовых углов мы должны сформировать векторную сумму напряжений (более подробную информацию см. в другом месте).

Рис. 4-5: Векторное сложение двух напряжений
На практике нам обычно нужно знать только экстремальные значения напряжений.
то есть Umax и Umin.
Если напряжения U1 и U2 представлены в виде значений уровня в дБ (В) или дБ (мкВ), мы должны сначала преобразовать их в линейные значения, как мы это делали с некоррелированными напряжениями. Однако сложение является линейным, а не квадратичным (см. следующий раздел о пиковых напряжениях).
4.4 Пиковые напряжения
Если мы подаем на вход усилителя, приемника или анализатора спектра составной сигнал, состоящий из разных напряжений, нам необходимо знать пиковое напряжение. Если пиковое напряжение превысит определенное значение, возникнут ограничивающие эффекты, которые могут привести к нежелательным продуктам смешивания или плохой мощности соседнего канала.
Пиковое напряжение U равно:

Максимальный уровень раскачки усилителей и анализаторов обычно указывается в дБм. В системе 50 Ом преобразование на основе пикового напряжения (в В) возможно по следующей формуле:

Коэффициент 10(3) получается в результате перевода ватт в милливатты.
Обратите внимание, что этот уровень мощности представляет собой мгновенную пиковую мощность, а не среднеквадратичное значение мощности.
(Продолжение следует)
Магазин Gtest® - авторизованный поставщик осциллографов
в Украину: https://gtest.com.ua/izmeritelnye-pribory/ostcillografy
Поставки со склада и под заказ
