Екскурс у технологію цифрової обробки сигналів
Магазин Gtest(R)
пропонує широку номенклатуру осцилографів на сторінці сайту в самому кінці
цього Розділу, а також рекомендовані прилади та статті для самоосвіти
Введення в теорію цифрової обробки сигналів
У цій статті дається загальне уявлення про те, що таке Цифрова Обробка Сигналів (ЦГЗ), як вона працює і які переваги вона може мати. Щоб оцінити переваги ЦГЗ, пропоную спочатку поглянути на традиційний метод обробки сигналів, тобто аналогову обробку.
ЦГЗ включає розробку алгоритмів, які можна використовувати для покращення сигналу певним чином або вилучення з нього деякої корисної інформації.
Аналогове оброблення сигналів
Можливо, найпростішим прикладом обробки аналогового сигналу є знайома RC-схема, тобто. електричний ланцюг, що складається з конденсатора та резистора, як це показано на малюнку 1.

Малюнок 1
Ця схема діє як фільтр нижніх частот. Він видаляє або відфільтровує частотні компоненти, що знаходяться вище за частоту зрізу схеми* і пропускає низькочастотні компоненти з невеликим ослабленням. У цьому прикладі метою обробки сигналу є усунення високочастотного шуму та виділення потрібної частини сигналу.
Зверніть увагу, що і вхід, і вихід мають аналогову форму. Це велика перевага, оскільки сигнали, що цікавлять науку та техніку, є аналоговими. Отже, при аналоговій обробці сигналів немає необхідності в інтерфейсних схемах (АЦП та ЦАП) на вході та виході блоку обробки сигналів.
* частота смуги пропускання на якій потужність вихідного сигналу згасає (зменшується) вдвічі чи іншого зазначеного значення потужності вхідного гармонійного вимірювального сигналу.
Недоліки аналогової обробки сигналів
Одним із основних недоліків обробки аналогових сигналів є зміна значень електричних компонентів. Аналогові схеми покладаються на точність активних та пасивних компонентів (резисторів, конденсаторів, котушок індуктивності та підсилювачів). Наприклад, частота зрізу (fC) вищевказаного фільтра нижніх частот визначається виразом:
fC=1/2 хπ хR хC
Як бачите, відгук фільтра є функцією значень компонентів. Оскільки електричні компоненти не можуть бути виготовлені з ідеальною точністю, точність аналогових схем обмежена. Через допуски/похибки компонентів продуктивність схеми не є 100% повторюваної, і ми очікуємо деяких відмінностей у різних параметрах схеми від плати до плати.
Ще одним недоліком є те, що аналогові схеми не є гнучкими. Наприклад, щоб змінити частотну характеристику вищезгаданого фільтра, необхідно відрегулювати значення його компонентів тобто. необхідно внести зміни до апаратного забезпечення.
Зверніть увагу, що ця проблема не стосується цифрової обробки сигналів. За допомогою ЦОС можна навіть перетворити фільтр нижніх частот на фільтр верхніх частот, просто змінивши деякі програмовані коефіцієнти.
Понад те, аналогові схеми не підходять реалізації математичних функцій (множення, розподіл тощо. буд.). Це контрастує з цифровою сферою, де можна легко реалізувати навіть набагато складніші математичні операції.
Цифрова обробка сигналів здатна вирішувати безліч проблем
Цифрові схеми не страждають від вищезазначених обмежень. Наприклад, хоча зміни у значеннях компонентів та паразитних параметрах можуть трохи змінити затримку інверторного КМОП-затвора*, загальна функціональність вентиля буде збережена. Отже, на відміну від аналогових схем, цифрові схеми менш схильні до змін компонентів і паразитних впливів. Цифрові схеми також більш гнучкі та підходять для реалізації математичних функцій.
Залишається питання: які основні компоненти нам потрібні для обробки сигналу у цифровій області?
Як показано на малюнку 2, нам потрібні аналого-цифрові (А/Ц) та цифро-аналогові (Ц/А) перетворювачі на вході та виході блоку обробки сигналів, щоб зв'язати нашу цифрову схему з реальним середовищем аналогових сигналів.
* Набір напівпровідникових технологій побудови інтегральних мікросхем та відповідна їй схемотехніка мікросхем.

Малюнок 2
Роль аналого-цифрового перетворювача
Аналого-цифровий перетворювач здійснює вибірку аналогового вхідного сигналу через рівні проміжки часу, як показано на малюнку 3.

Малюнок 3
Потім він квантує (тобто представляє як квантів і перетворює з безперервної форми в дискретну) амплітуду кожної вибірки. На малюнку 4 показано, як 4-біт АЦП може квантувати аналоговий вхідний сигнал.

Малюнок 4
На цьому малюнку аналоговий вхід (синя крива) набуває різних значень у вхідному діапазоні АЦП. Враховуючи, що це 4-бітний АЦП, є 16 дискретних рівнів для квантування амплітуди вхідного сигналу. На малюнку ці рівні показані кратними LSB (найменший біт). Отже, молодший біт (найменше значний біт) визначає мінімальну зміну значення аналогового входу, що може виявити АЦП. Іншими словами, саме мінімальна зміна на вході призводить до зміни коду на виході АЦП.
Давайте подивимося, як АЦП генерує двійковий код кожної вибірки. АЦП порівнює амплітуду аналогового вхідного сигналу з 16 дискретними рівнями. На основі цього порівняння генерується цифрове уявлення введення. Наприклад, із синьою кривою, показаною на малюнку 4, процес порівняння вхідного сигналу з 16 дискретними рівнями АЦП може призвести до зображеної червоної кривої. Потім АЦП використовує двійковий код для подання кожного рівня отриманої сходової апроксимації. Наприклад, коли значення червоної кривої дорівнює 4-кратному молодшому розряду, вихід нашого чотирибітного АЦП дорівнює 0100.
Слід зазначити, що блок цифрового сигнального процесора на малюнку 2 отримує послідовність дискретного часу, оскільки АЦП бере вибірки з частотою, кратної заздалегідь заданому інтервалу вибірки. І амплітуда кожної вибірки квантується. У цьому відмінність від обробки аналогового сигналу, де вхідний сигнал є безперервним сигналом і може приймати будь-яке значення в заданому діапазоні.
Роль ЦАП
Після того, як сигнал оброблений блоком "Процесор цифрових сигналів", нам зазвичай необхідно перетворити його на еквівалентний аналоговий сигнал. Це досягається за допомогою цифро-аналогового перетворювача (ЦАП). На рис. 5 показано програму для обробки звуку.

Малюнок 5
У цьому випадку використовується система цифрової обробки сигналів, яка додає відлуння або регулює темп і висоту голосу для отримання ідеального звуку. Потім оброблений сигнал надходить у ЦАП створення аналогового сигналу, який може виводитися на динаміки. Зверніть увагу, що існують програми ЦГЗ, яким не потрібний ЦАП. Наприклад, алгоритм цифрової обробки сигналів, що використовується в радарі, може дати нам інформацію про положення та швидкість літака. Цю інформацію можна просто надрукувати на папері.
Блок «Процесор цифрових сигналів»
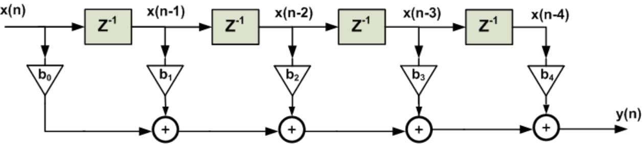
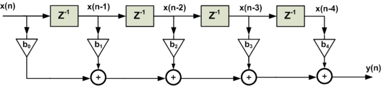
Алгоритм ЦГЗ складається з низки математичних операцій. Наприклад, фільтр з кінцевою імпульсною характеристикою (FIR) 4-го порядку вимагає п'яти цифрових помножувачів, чотирьох суматорів та деяких елементів затримки, як показано нижче.

Малюнок 6
Отже, процесор цифрових сигналів насправді є обчислювальною машиною. Цей обчислювальний механізм може бути процесором загального призначення, FPGA (програмована користувачем вентильна матриця) або навіть спеціалізований чіп ЦОС. Кожен варіант має свої переваги та недоліки з точки зору гнучкості, швидкості, простоти програмування та енергоспоживання.
Оскільки обчислювальні ресурси дуже цінні, цифрова обробка сигналів намагається надати нам інструменти та методи, які дозволяють створювати швидкі та ефективні алгоритми в обчислювальному відношенні. Наприклад, існує кілька різних структур, які можна використовувати для реалізації FIR-фільтра.
ЦГЗ знаходить застосування в широкому спектрі додатків
Концепції та інструменти ЦГЗ знаходять застосування в будь-якому додатку, якому необхідно маніпулювати вхідним сигналом у цифровій сфері. Сюди входять, окрім іншого, стиснення аудіо та відео, обробка та розпізнавання мовлення, обробка цифрових зображень та радіолокаційні програми.
Щоб досягти успіху в кожній з цих областей, необхідно опанувати широкий спектр спеціалізованих алгоритмів ЦГЗ, математики та інших методів. Фактично малоймовірно, щоб хтось один освоїв усі вже розроблені технології ЦГЗ. Однак деякі загальні концепції ЦГЗ, такі як фільтрація, кореляція та спектральний аналіз, використовуються майже у всіх додатках ЦГЗ. Отже, першим кроком у навчанні ЦГЗ є оволодіння базовими концепціями, а потім зосередження уваги на спеціалізованих додатках, необхідних у цій галузі інтересів.
Деякі базові концепції ЦГЗ, а також деякі спеціалізовані методи, пов'язані з цифровою обробкою зображень, описані в раніше представлених статтях на цьому сайті.
Магазин Gtest® - авторизований постачальник осцилографів в Україну: https://gtest.com.ua/izmeritelnye-pribory/ostcillografy
