ОСЦИЛЛОГРАФЫ. ВЕРТИКАЛЬНОЕ РАЗРЕШЕНИЕ. ЧТО ЭТО? ЧАСТЬ 3
Магазин Gtest(R) предлагает
широкую номенклатуру Осциллографов
на приводимой страничке сайта в самом конце настоящего Раздела, а также рекомендуемые приборы и статьи для
самообразования
Спектральный состав шума
Спектральное содержание шума важно понимать, поскольку это часто является областью для улучшения. Если у нас есть спектральная плотность, выраженная как R(f) в единицах V(rms)/Гц, общий шум в системе равен:

Если шум белый (т.е. равномерно распределен по всей полосе пропускания BW), такой, что R(f) = R, то мы имеем:

Если бы мы уменьшили вдвое полосу пропускания в такой системе, используя жесткое ограничение на уровне BW /2, мы бы получили:

И поэтому:

Возвращаясь к (5), мы видим, что это означает, что SNR улучшается на 20 log √2 3 дБ, и поэтому ENOB (только из-за шума) согласно (6) увеличивается на 0,5 бита.
Это предписание, лежащее в основе фильтрации с улучшенным разрешением (ERES), хотя типичный применяемый фильтр ERES, как правило, не имеет формы кирпичной стены в этом примере. Однако принцип точно такой же. Создается фильтр, который заставляет биты увеличиваться на 0,5 бита для каждого уменьшения полосы пропускания вдвое.
Помните, что ранее мы понимали, что абсолютный верхний предел ENOB для B-битного дигитайзера верен только в том случае, если полезный контент сигнала охватывает всю полосу Найквиста. Если частота дискретизации системы в два-три раза выше полосы пропускания, то разрешение можно улучшить, просто отфильтровав форму сигнала в цифровом виде после получения. Это означает, что для улучшения разрешения можно использовать просто дискретизацию с более высокой частотой и фильтрацию. Это может показаться нелогичным, но подумайте об этом так: если мы делаем выборку с высокой частотой, а шум вызван только квантованием, то мы могли бы усреднить два соседних образца, которые предположительно некоррелированы, чтобы получить улучшение на полбита. Конечно, это произошло бы за счет снижения полосы пропускания, но только на половину частоты Найквиста. Но если бы наш полезный сигнальный контент содержался только в первой половине полосы Найквиста, улучшение дается по сути бесплатно. Мы поговорим об этом подробнее в следующем разделе.
Фильтрация ERES
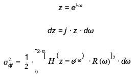
Отклик цифрового фильтра выражается как H (z), где, при заданной спектральной плотности шума R (z) влияние фильтра на спектр шума определяется как:

где контур интегрирования проходит по краю единичной окружности. Это можно упростить, заменив z на где (2):

Предполагая равномерное распределение шума от постоянного тока до частоты Найквиста, изначально имеем (3):
2Мы произвольно выбрали частоту дискретизации как единицу.
3 Читатель мог бы ожидать здесь σ/√2 π, но дублированный шум в отрицательном спектре уже учтен, и уместно указать плотность шума только в положительном спектре.

Рисунок 5 - Импульсные характеристики ERES
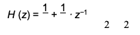
Фильтрация ERES обычно выполняется с помощью гауссовского фильтра [4]. Гауссовский фильтр — это фильтр, импульсная характеристика которого является гауссовой, что обеспечивает идеальную импульсную характеристику, в которой нет перерегулирования. Центральная предельная теорема утверждает, что свертывание множества прямоугольных или прямоугольных фильтров дает отклик, который стремится к гауссовой форме, и именно так создаются фильтры ERES. Учитывая это, простейшим фильтром ERES является двухотводный прямоугольный фильтр с отводами 1, 1. Таким образом, этот фильтр просто усредняет две точки.
Ответ этого фильтра:


Рисунок 6 - Частотные характеристики ERES

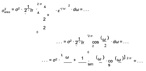
И поэтому : 4 · π 2 • π 2 2 0 . . . = σ2 1 2 σ σeres = √2
Это так называемый фильтр ERES 0,5 бит. Этот результат не должен удивлять, поскольку мы эффективно усредняем две соседние точки, и поскольку шум в двух соседних точках выборки предполагается некоррелированным, мы получаем улучшение на половину бита, предсказанное в обсуждении усреднения4.
Чтобы еще больше улучшить разрешение, мы можем каскадировать много этапов S двухотводных усредняющих фильтров, и мы обнаруживаем, что эффективное улучшение битов равно:
(4) это улучшение на полбита возможно только если ширина полосы шума расширяется до частоты Найквиста, как мы и предполагали. Если ширина полосы шума не расширяется до частоты Найквиста, спектральная плотность шума не может быть однородной и мы не можем получить полное улучшение на полбита.

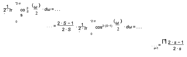
Чтобы решить эту проблему, мы используем тождество (5):

(5) Если вы хотите решить это самостоятельно, подойдите к cosn (a • x) • dx, используя замену u • dv с u = cosn−1 (a • x) и dv = cos (a • x) • dx. (6) когда S = 1, вам нужно взять предел при S → 1, и вы получите f3 dB = ½
И таким образом:

Таким образом, для заданного количества этапов улучшение в битах можно записать как:
1B = − 2 • log2 S s=1 2 • s − 1 2 • s
Магазин Gtest® - авторизованный поставщик осциллографов в Украину: https://gtest.com.ua/izmeritelnye-pribory/ostcillografy
ПРОДОЛЖЕНИЕ СЛЕДУЕТ…
