Последний рывок в изучении параметра dB. Часть 4. Дождались окончания...
Магазин Gtest(R)
предлагает широкую номенклатуру осциллографов на приводимой страничке сайта в
самом конце настоящего
Раздела, а также рекомендуемые приборы и статьи для
самообразования
6. Ряд значений, которые следует всегда помнить. Часть 4
Работать со значениями в децибелах станет намного проще, если вы запомните несколько ключевых значений. Всего лишь из нескольких простых значений вы можете легко получить другие значения, когда это необходимо. Мы можем еще больше упростить задачу, округлив точные значения в большую или меньшую сторону до легко запоминающихся чисел. Все, что нам нужно сделать, это запомнить упрощенные значения, например. коэффициент мощности 2 соответствует 3 дБ (вместо точного значения 3,01 дБ, которое требуется редко).
В следующей таблице перечислены некоторые из наиболее полезных чисел, которые следует запомнить.
6.1 Таблица перевода децибел в линейные значения

Таблица 6-1: Преобразование децибел в линейные значения
Из этой таблицы вам, вероятно, следует знать наизусть хотя бы приблизительные значения 3 дБ, 6 дБ, 10 дБ и 20 дБ.
Примечание. 3 дБ — это не точный коэффициент мощности, равный 2, а 6 дБ — это не совсем 4! Однако для повседневного использования эти упрощения обеспечивают достаточную точность и, поэтому, широко используются.
Промежуточные значения, которых нет в таблице, часто можно легко получить:
4 дБ = 3 дБ + 1 дБ, что соответствует коэффициенту 2 + 20% мощности, т.е. прибл. В 2,4 раза больше мощности.
7 дБ = 10 дБ – 3 дБ, что соответствует 10-кратной мощности, а затем половине, т. е. 5-кратной мощности.
6.2 Таблица сложения значений децибел
Если вам нужно точно вычислить сумму двух значений, указанных в децибелах, вам необходимо преобразовать их в линейную форму, сложить их, а затем преобразовать обратно в логарифмическую форму. Однако следующая таблица полезна для быстрых расчетов. В столбце 1 в разделе «Дельта дБ» указана разница между двумя значениями дБ. В столбце 2 указан поправочный коэффициент для величин мощности. В столбце 3 указан поправочный коэффициент для величин напряжения. Добавьте поправочный коэффициент к большему из двух значений дБ, чтобы получить итоговую сумму.

Таблица 6-2: Поправочные коэффициенты для добавления значений в децибелах
Пример:
6.2.1 Предположим, мы хотим добавить уровни мощности -60 дБм и -66 дБм. Мы вычитаем значения децибел, чтобы получить разницу в 6 дБ. Из таблицы отсчитываем поправочный коэффициент 0,97 дБ. Мы добавляем это значение к большему из двух значений, то есть -60 дБм (-60 дБм больше, чем -65 дБм!), и получаем общую мощность -59 дБм.
6.2.2 При включении сигнала шум, отображаемый анализатором спектра, увеличивается на 0,04 дБ. Из таблицы видно, что уровень этого сигнала лежит примерно на 20 дБ ниже уровня шума анализатора спектра.
6.2.3. Нам нужно сложить два равных напряжения. Это означает, что разница уровней составляет 0 дБ. Общее напряжение на 6 дБ (значение из таблицы) превышает значение одного напряжения (= удвоенное напряжение).
6.3 Еще несколько полезных значений
Следующие значения также полезны во многих случаях:
- 13 дБм соответствует URMS = 1 В на 50 Ом.
- 0 дБм соответствует URMS = 0,224 В на нагрузке 50 Ом.
- 107 дБ (мкВ) соответствует 0 дБм при сопротивлении 50 Ом.
- 120 дБ (мкВ) соответствует 1 В
- 174 дБм – мощность теплового шума в полосе пропускания 1 Гц при температуре ок. 20 °С (68 °F).
6.4 Другие эталонные величины
До сих пор в качестве эталонных величин мы использовали 1 мВт и 50 Ом. Однако существуют и другие эталонные системы, в том числе, что наиболее важно, система 75 Ом в телевизионной технике и система 600 Ом в технологии акустических измерений. Система 60 Ом, ранее использовавшаяся в радиочастотной технике, и система 600 Ом в США с эталонным значением 1,66 мВт сейчас встречаются довольно редко. Однако приведенные выше формулы легко адаптировать к этим системам отсчета.

Таблица 6-3: Дополнительные системы отсчета
6.5 Точность, количество десятичных знаков
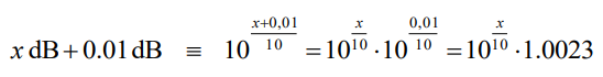
Сколько десятичных знаков следует использовать при указании значений в децибелах? Если мы увеличим значение x, которое представляет собой величину мощности, указанную в децибелах, на 0,01 дБ, соответствующее линейное значение изменится следующим образом:

Это эквивалентно изменению мощности на 0,23%. Величины напряжения изменяются всего на 0,11%. Эти незначительные изменения невозможно отличить от обычных колебаний результата измерения.
Соответственно, нет смысла указывать значения в децибелах, скажем, с пятью или более десятичными знаками, за исключением нескольких редких случаев.
7. Приложения для смартфонов
Чтобы упростить расчеты, подобные тем, которые были сделаны в предыдущих главах, компания Rohde & Schwarz предлагает ряд приложений для планшетов и смартфонов.
В настоящее время версии для Android, iOS и Windows Phone предоставляются бесплатно на соответствующих порталах приложений. Чтобы их было легко найти, используйте поисковые запросы «Rohde», «Schwarz» и «dB», «Калькулятор» или «Напряженность поля» и «Оценщик». Если вы читаете это руководство по применению на интеллектуальном устройстве, просто щелкните следующую ссылку для прямого доступа на целевую страницу приложения Rohde & Schwarz.
1. Калькулятор dB
Приложение dB Calculator включает в себя пять независимых инструментов расчета. Калькулятор дБм, калькулятор напряжения, конвертер единиц измерения, конвертер дБ и конвертер КСВН.
• Android: https://play.google.com/store/apps/details?id=com.rohdeschwarz.dbcalculator
• iOS: https://itunes.apple.com/app/id489100786
• Windows Phone: https://www.microsoft.com/store/apps/9nblggh0fwcd
2. Импульсный радиочастотный калькулятор
Современные анализаторы спектра, такие как R&S®FSW, предлагают сложные возможности для решения этой измерительной задачи. Если такой анализатор недоступен, приложение App Pulsed RF Calculator может помочь вам найти подходящие настройки анализатора спектра и рассчитать так называемую десенсибилизацию импульса для правильного измерения амплитуд импульсного сигнала.
• Android: https://play.google.com/store/apps/details?id=com.rohdeschwarz.pulsedrfcal culator
• iOS: https://itunes.apple.com/app/id969034080
• Windows Phone: https://www.microsoft.com/store/apps/9nblggh5xn5c
3. Оценка напряженности поля и мощности
Приложение рассчитывает плотность потока мощности, напряженность электрического и магнитного поля на основе передаваемой мощности, соответствующей частоты и усиления передающей антенны.
Дополнительно входная мощность приемника с входным сопротивлением 50 Ом рассчитывается по коэффициенту усиления приемной антенны.
Приложение автоматически преобразует плотность потока мощности в напряженность электрического и магнитного поля.
В зависимости от передаваемой частоты на принимаемую мощность и напряженность поля влияют различные параметры, такие как распространение вне прямой видимости, изменение поляризации, отражение и многолучевое распространение. Кроме того, необходимо учитывать КСВ антенны и потери в кабеле.
Оценщик напряженности и мощности поля не учитывает эти нарушения. Он предполагает условия, близкие к наилучшим возможным теоретическим значениям. Вот почему мы говорим, что программа является оценщиком, а не калькулятором.
▪ Android: https://play.google.com/store/apps/details?id=com.rohdeschwarz.android.po werestimator
▪ iOS: https://itunes.apple.com/app/id364229792
▪ Windows Phone: https://www.microsoft.com/store/apps/9nblggh0fwb1
4. Power Viewer для мобильных устройств
С помощью Power Viewer Mobile вы можете использовать датчики мощности Rohde&Schwarz®NRP-Z со своим смартфоном или планшетом на базе Android.Android: https://play.google.com/store/apps/details?id=com.rohdeschwarz.android.nrp driver
5. Калькулятор беспроводной связи
Приложение Rohde & Schwarz Wireless Communications Calculator является важной частью инструментария любого инженера беспроводной связи. Мы охватываем все наиболее важные и популярные на сегодняшний день стандарты сотовой и не сотовой связи, от А до Zigbee. Просто укажите технологию и диапазон интересов, а мы сделаем все остальное. Введите номер канала, и мы предоставим правильные частоты нисходящей и восходящей линии связи как в числовом, так и в графическом формате. Низкие, средние и высокие каналы также показаны для быстрого ознакомления. В режиме «Мощность» мы указываем максимальную мощность UE, разрешенную для устройства этого класса, или, в случае GSM, мощность в зависимости от PCL/Gamma.
▪ Android: https://play.google.com/store/apps/details?id=elcom.wccandroid
▪ iOS: (currently not available)
▪ Windows Phone: https://www.microsoft.com/store/apps/9nblggh5xmzf
6. Авиационная радиосвязь
Приложение Aviation RF Link позволяет быстро рассчитать прямую линию связи от наземной станции до самолета. На основании мощности РЧ наземной станции инструмент рассчитывает расстояние с заданной напряженностью поля, которое должно быть достигнуто у антенны самолета, или рассчитывает напряженность поля при заданной мощности и расстоянии до самолета.
Инструмент рассчитывает потери на трассе на основе условий прямой видимости (LOS) и не учитывает многолучевое распространение на земле.
В дополнение к радиочастотному пути инструмент рассчитывает радиогоризонт на основе заданной высоты самолета и наземной станции. Если рассчитанная LOS ниже дистанции, которую можно достичь при данных радиоусловиях, это обозначается красной точкой на вкладке LOS. В этом случае ограничивающим фактором является радиогоризонт, а не бюджет радиочастотной линии.
Прямая видимость рассчитывается в соответствии с Приложением 10 ИКАО, том. В.
По умолчанию коэффициент усиления антенны 2,14 дБи соответствует всенаправленной антенне.
Значение по умолчанию для напряженности поля 75 мкВ/м соответствует рекомендациям ИКАО по минимальному приему на антенну самолета.
▪ Android: https://play.google.com/store/apps/details?id=eu.tarienna.android.aviationlink
▪ iOS: https://itunes.apple.com/app/id421145880
Чтобы просмотреть все другие доступные приложения от Rohde & Schwarz на различных порталах приложений, просто нажмите следующие ссылки в зависимости от используемого вами устройства.
▪ Android: https://play.google.com/store/apps/developer?id=Rohde+%26+Schwarz+Gm bH+%26+Co.+KG
▪ iOS: https://itunes.apple.com/developer/id364229795
▪ Windows Phone: https://www.microsoft.com/de- de/store/search/apps?q=Rohde+%26+Schwarz
Конец
Магазин Gtest® - авторизованный поставщик осциллографов
в Украину: https://gtest.com.ua/izmeritelnye-pribory/ostcillografy
Поставки со склада и под заказ
