Останній ривок у вивченні параметра dB. Частина 4. Дочекалися закінчення...
Магазин Gtest(R)
пропонує широку номенклатуру осцилографів на сторінці сайту в самому кінці
цього Розділу, а також рекомендовані прилади та статті для самоосвіти
6. Ряд значень, які слід завжди пам'ятати. Частина 4
Працювати зі значеннями у децибелах стане набагато простіше, якщо ви запам'ятаєте кілька ключових значень. Лише з кількох простих значень ви можете легко отримати інші значення, коли це необхідно. Ми можемо ще більше спростити завдання, округливши точні значення у більшу чи меншу сторону до чисел, що легко запам'ятовуються. Все, що нам потрібно зробити, це запам'ятати спрощені значення, наприклад. коефіцієнт потужності 2 відповідає 3 дБ (замість точного значення 3,01 дБ, яке потрібне рідко).
У наступній таблиці наведено деякі з найбільш корисних чисел, які слід запам'ятати.
6.1 Таблиця переведення децибел у лінійні значення

Таблиця 6-1: Перетворення децибелів на лінійні значення
З цієї таблиці вам, мабуть, слід знати напам'ять хоча б приблизні значення 3 дБ, 6 дБ, 10 дБ та 20 дБ.
Примітка. 3 дБ – це не точний коефіцієнт потужності, що дорівнює 2, а 6 дБ – це не зовсім 4! Однак для повсякденного використання ці спрощення забезпечують достатню точність і тому широко використовуються.
Проміжні значення, яких немає у таблиці, часто можна легко отримати:
4 дБ = 3 дБ + 1 дБ, що відповідає коефіцієнту 2+20% потужності, тобто. прибл. У 2,4 рази більше потужності.
7 дБ = 10 дБ - 3 дБ, що відповідає 10-кратної потужності, а потім половині, тобто 5-кратної потужності.
6.2 Таблиця складання значень децибел
Якщо вам потрібно точно обчислити суму двох значень, вказаних у децибелах, вам необхідно перетворити їх на лінійну форму, скласти їх, а потім перетворити назад на логарифмічну форму. Однак, наступна таблиця корисна для швидких розрахунків. У стовпці 1 у розділі "Дельта дБ" вказана різниця між двома значеннями дБ. У стовпці 2 вказано поправний коефіцієнт для величин потужності. У стовпці 3 вказаний коефіцієнт поправки для величин напруги. Додайте поправочний коефіцієнт до більшого двох значень дБ, щоб отримати підсумкову суму.

Таблиця 6-2: Поправочні коефіцієнти для додавання значень децибелах
Приклад:
6.2.1 Припустимо, ми хочемо додати рівні потужності -60 дБм та -66 дБм. Ми віднімаємо значення децибелів, щоб отримати різницю в 6 дБ. З таблиці відраховуємо поправний коефіцієнт 0,97 дБ. Ми додаємо це значення до більшого з двох значень, тобто -60 дБм (-60 дБм більше, ніж -65 дБм!) і отримуємо загальну потужність -59 дБм.
6.2.2 При включенні сигналу шум, який відображається аналізатором спектра, збільшується на 0,04 дБ. З таблиці видно, що рівень цього сигналу лежить приблизно на 20 дБ нижче за рівень шуму аналізатора спектра.
6.2.3. Нам потрібно скласти дві рівні напруги. Це означає, що різниця рівнів становить 0 дБ. Загальна напруга на 6 дБ (значення таблиці) перевищує значення однієї напруги (= подвоєна напруга).
6.3 Ще кілька корисних значень
Наступні значення також корисні у багатьох випадках:
- 13 дБм відповідає URMS = 1 на 50 Ом.
- 0 дБм відповідає URMS = 0,224 на навантаженні 50 Ом.
- 107 дБ (мкВ) відповідає 0 дБм за опору 50 Ом.
- 120 дБ (мкВ) відповідає 1 В
- 174 дБм – потужність теплового шуму у смузі пропускання 1 Гц за нормальної температури бл. 20 ° С (68 ° F).
6.4 Інші еталонні величини
Досі як еталонні величини ми використовували 1 мВт і 50 Ом. Однак існують інші еталонні системи, у тому числі, що найбільш важливо, система 75 Ом в телевізійній техніці і система 600 Ом в технології акустичних вимірювань. Система 60 Ом, яка раніше використовувалася в радіочастотній техніці, і система 600 Ом у США з еталонним значенням 1,66 мВт зараз зустрічаються досить рідко. Однак наведені вище формули легко адаптувати до цих систем відліку.

Таблиця 6-3: Додаткові системи відліку
6.5 Точність, кількість десяткових знаків
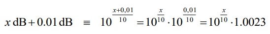
Скільки десяткових знаків слід використати для вказівки значень у децибелах? Якщо ми збільшимо значення x, яке є величиною потужності, зазначеної в децибелах, на 0,01 дБ, відповідне лінійне значення зміниться наступним чином:

Це еквівалентно зміні потужності на 0,23%. Величини напруги змінюються лише на 0,11%. Ці незначні зміни неможливо відрізнити від звичайних коливань результату виміру.
Відповідно немає сенсу вказувати значення в децибелах, скажімо, з п'ятьма або більше десятковими знаками, за винятком кількох рідкісних випадків.
7. Програми для смартфонів
Щоб спростити розрахунки, подібні до тих, які були зроблені в попередніх розділах, компанія Rohde & Schwarz пропонує ряд додатків для планшетів і смартфонів.
Наразі версії для Android, iOS та Windows Phone надаються безкоштовно на відповідних порталах програм. Щоб їх легко знайти, використовуйте пошукові запити «Rohde», «Schwarz» та «dB», «Калькулятор» або «Напруженість поля» та «Оцінювач». Якщо ви читаєте цей посібник із застосування на інтелектуальному пристрої, просто клацніть наступне посилання для прямого доступу на цільову сторінку програми Rohde & Schwarz.
1. Калькулятор dB
Додаток dB Calculator включає п'ять незалежних інструментів розрахунку. Калькулятор дБм, калькулятор напруги, конвертер одиниць вимірювання, конвертер дБ та конвертер КСВН.
• Android: https://play.google.com/store/apps/details?id=com.rohdeschwarz.dbcalculator
• iOS: https://itunes.apple.com/app/id489100786
• Windows Phone: https://www.microsoft.com/store/apps/9nblggh0fwcd
2. Імпульсний радіочастотний калькулятор
Сучасні аналізатори спектру, такі як R&S®FSW, пропонують складні можливості для вирішення цієї вимірювальної задачі. Якщо такий аналізатор недоступний, App Pulsed RF Calculator може допомогти вам знайти відповідні налаштування аналізатора спектру і розрахувати так звану десенсибілізацію імпульсу для правильного вимірювання амплітуд імпульсного сигналу.
• Android: https://play.google.com/store/apps/details?id=com.rohdeschwarz.pulsedrfcal culator
• iOS: https://itunes.apple.com/app/id969034080
• Windows Phone: https://www.microsoft.com/store/apps/9nblggh5xn5c
3. Оцінка напруженості поля та потужності
Додаток розраховує щільність потоку потужності, напруженість електричного і магнітного поля на основі потужності, що передається, відповідної частоти і посилення передавальної антени.
Додатково вхідна потужність приймача з вхідним опором 50 Ом розраховується за коефіцієнтом посилення приймальної антени.
Програма автоматично перетворює щільність потоку потужності на напруженість електричного та магнітного поля.
Залежно від частоти, що передається, на прийняту потужність і напруженість поля впливають різні параметри, такі як поширення поза прямою видимістю, зміна поляризації, відображення і багатопроменеве поширення. Крім того, необхідно враховувати КСВ антени та втрати в кабелі.
Оцінювач напруженості та потужності поля не враховує ці порушення. Він передбачає умови, близькі до найкращих можливих теоретичних значень. Ось чому ми говоримо, що програма є оцінювачем, а чи не калькулятором.
▪ Android: https://play.google.com/store/apps/details?id=com.rohdeschwarz.android.po werestimator
▪ iOS: https://itunes.apple.com/app/id364229792
▪ Windows Phone: https://www.microsoft.com/store/apps/9nblggh0fwb1
4. Power Viewer для мобільних пристроїв
За допомогою Power Viewer Mobile можна використовувати датчики потужності Rohde&Schwarz®NRP-Z зі своїм смартфоном або планшетом на базі Android.Android: https://play.google.com/store/apps/details?id=com.rohdeschwarz.android. nrp driver
5. Калькулятор бездротового зв'язку
Додаток Rohde & Schwarz Wireless Communications Calculator є важливою частиною інструментарію будь-якого інженера бездротового зв'язку. Ми охоплюємо всі найбільш важливі та популярні на сьогоднішній день стандарти стільникового та не стільникового зв'язку, від А до Zigbee. Просто вкажіть технологію та діапазон інтересів, а ми зробимо все інше. Введіть номер каналу, і ми надамо правильні частоти низхідної та висхідної лінії зв'язку як у числовому, так і у графічному форматі. Низькі, середні та високі канали також показані для швидкого ознайомлення. У режимі «Потужність» ми вказуємо максимальну потужність UE, дозволену для цього класу, або, у разі GSM, потужність залежно від PCL/Gamma.
▪ Android: https://play.google.com/store/apps/details?id=elcom.wccandroid
▪ iOS: (currently not available)
▪ Windows Phone: https://www.microsoft.com/store/apps/9nblggh5xmzf
6. Авіаційний радіозв'язок
Програма Aviation RF Link дозволяє швидко розрахувати пряму лінію зв'язку від наземної станції до літака. На підставі потужності РЧ наземної станції інструмент розраховує відстань із заданою напруженістю поля, яка має бути досягнута у антени літака, або розраховує напруженість поля при заданій потужності та відстані до літака.
Інструмент розраховує втрати на трасі на основі умов прямої видимості (LOS) та не враховує багатопроменевого поширення на землі.
На додаток до радіочастотного шляху інструмент розраховує радіогоризонт на основі заданої висоти літака та наземної станції. Якщо розрахована LOS нижче дистанції, яку можна досягти за даних радіоумов, це позначається червоною точкою на вкладці LOS. І тут обмежуючим чинником є радіогоризонт, а чи не бюджет радіочастотної лінії.
Пряма видимість розраховується відповідно до Додатку 10 ІКАО, том. Ст.
За умовчанням коефіцієнт посилення антени 2,14 дБі відповідає всеспрямованій антені.
Значення за умовчанням для напруженості поля 75 мкВ/м відповідає рекомендаціям ІКАО щодо мінімального прийому на антену літака.
▪ Android: https://play.google.com/store/apps/details?id=eu.tarienna.android.aviationlink
▪ iOS: https://itunes.apple.com/app/id421145880
Щоб переглянути всі інші доступні програми від Rohde & Schwarz на різних порталах програм, просто натисніть наступні посилання залежно від пристрою, який ви використовуєте.
▪ Android: https://play.google.com/store/apps/developer?id=Rohde+%26+Schwarz+Gm bH+%26+Co.+KG
▪ iOS: https://itunes.apple.com/developer/id364229795
▪ Windows Phone: https://www.microsoft.com/de- de/store/search/apps?q=Rohde+%26+Schwarz
Кінець
Магазин Gtest® - авторизований постачальник
осцилографів в Україну: https://gtest.com.ua/izmeritelnye-pribory/ostcillografy
Постачання зі складу та на замовлення
