Цифровой осциллограф во всём его многообразии
Магазин Gtest(R)
предлагает широкую номенклатуру осциллографов на приводимой страничке сайта в
самом конце настоящего
Раздела, а также рекомендуемые приборы и статьи для
самообразования
Как использовать цифровой осциллограф для получения динамической кривой B-H магнитных компонентов
Ключевые слова: магнитные компоненты, кривая BH, магнитное насыщение
Предисловие:
В этой статье будет подробно описано, как использовать цифровой осциллограф для определения плотности магнитного потока (B) и напряженности магнитного поля (H), а также обсуждены различия между измерением статической (синусоидальной) кривой BH и измерением динамического источника возбуждения. Индукторы и трансформаторы являются распространенными магнитными компонентами в силовых цепях и играют роль хранения и преобразования энергии. Магнитные компоненты состоят из обмоток и магнитных сердечников. Магнитная проницаемость (μ), температурные характеристики, частотные характеристики и структура магнитного материала определяют характеристики магнитных компонентов.
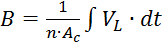
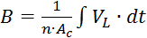
Как использовать цифровой осциллограф для ввода напряжения и тока в две формулы для расчета плотности магнитного потока (B) и напряженности магнитного поля (H)
(Формула 1)
(Формула 2)
H: Напряженность магнитного поля
B: Плотность магнитного потока
n: Обмотки
Магнитная длина
AC: Площадь поперечного сечения

Рисунок 1. Структура тороидального индуктора.
Цифровой осциллограф имеет функцию расширенных вычислений. Задав формулу и введя переменные, такие как n, , переменный ток, напряжение и ток, и используя такие вычисления, как умножение, деление и интегрирование, интенсивность магнитного поля H можно получить по формуле 1, а плотность магнитного потока B можно рассчитать по формуле 2. Напряженность магнитного поля (H) пропорциональна току; плотность магнитного потока (B) пропорциональна интегралу напряжения.



Рис. 2. Экраны настройки таких переменных, как n и переменный ток, при анализе источника питания GDS-3000A.
Наконец, кривую BH можно получить, отобразив преобразованные B и H в режиме XY.
Понимание терминологии, используемой в кривой BH.
Магнитный гистерезис представляет собой ферромагнитный материал. Под действием внешнего магнитного поля (Н) интенсивность его магнитного диполя (М) будет увеличиваться вдоль направления внешнего магнитного поля. Когда интенсивность внешнего магнитного поля больше, намагниченность магнитного материала сильнее, плотность магнитного потока (сила магнитного диполя) также будет больше, и в конечном итоге он достигнет магнитного насыщения.
Магнитное насыщение (Ms): Даже если внешнее магнитное поле увеличивается, магнетизм самого ферромагнитного материала не может быть увеличен. Магнитная остаточная намагниченность (Mr) или остаточная намагниченность (Retentivity): когда интенсивность внешнего магнитного поля уменьшается, сила магнитного диполя (M) также ослабевает. Когда внешнее магнитное поле падает до нуля, магнитный диполь магнитного материала не будет равен нулю и все еще сохраняет некоторую намагниченность.

Рисунок 3: Кривая B-H
Когда внешнее магнитное поле в противоположном направлении увеличится, остаточная интенсивность намагничивания (М) снова уменьшится. Только когда внешнее магнитное поле противоположного направления достигнет определенной напряженности, остаточный магнитный диполь может исчезнуть (т. е. интенсивность намагничивания станет равной нулю). Сила магнитного поля, приложенного в противоположном направлении, называется коэрцитивной силой Hc.
Когда внешнее магнитное поле в противоположном направлении продолжает увеличиваться, магнитный материал будет производить ненулевую интенсивность намагничивания (М). По мере изменения силы и направления внешнего магнитного поля магнитный диполь магнитного материала будет претерпевать определенные изменения, которые называются кривой гистерезиса или кривой BH. Примечание 1~3
Разница между статическим (синусоидальным) измерением кривой BH и динамическим измерением источника возбуждения
Статические измерения используют фиксированную частоту в качестве источника возбуждения. Целью проектирования магнитных компонентов является нормальная работа при максимальном пиковом токе, то есть магнитное насыщение не может произойти. Фактический максимальный ток возбуждения должен быть измерен на реальной форме динамического тока, чтобы получить истинное рабочее состояние. Это истинное рабочее состояние включает в себя фактические температурные условия. Магнитные вещества имеют так называемую температуру Кюри. Температура Кюри каждого материала различна. Когда магнитное вещество превышает температуру Кюри, магнитные диполи внутри вещества получают достаточно энергии, чтобы выйти из своего выравнивания, изменяя направление упорядоченного выравнивания на беспорядочное, и магнетизм исчезает. Примечание 4
На дисплеях ниже показаны результаты измерений нескольких циклов переключения MOSFET. Результаты измерения кривой B-H GDS-3000A близки к результатам испытаний Lecroy WaveRunner 8108HD.
€
Рисунок 4. Важные характеристики GDS-3000A.
Помимо функции измерения кривой B-H, GDS-3000A предоставляет в общей сложности 13 функций измерения источника питания (как показано на рисунке 5), которые полностью охватывают вход переменного тока, выход постоянного тока, анализ переключающих компонентов, анализ магнитных свойств и анализ частотной характеристики для ускорения подачи питания. проверка.

Рис. 5. Экран анализа источника питания GDS-3000A.
Магазин
Gtest® - авторизованный поставщик осциллографов в Украину: https://gtest.com.ua/izmeritelnye-pribory/ostcillografy
