Суть dB знают не все инженеры, так что ничего страшного..... Часть 1
Ссылка на
страничку сайта Магазина Gtest(R) с предлагаемыми Анализаторами спектра, а
также рекомендуемые приборы и статьи для дальнейшего самообразования - в самом
конце этого Раздела
дБ или не дБ?
Все, что вы хотели знать о децибелах, но стеснялись спросить…
(Перевод и редакция Магазина Gtest® c любезного разрешения компании Rohder&Schwarz)
Рекомендации по применению этой единицы измерений . Часть 1
Продукция с генерированием величин дБ:
- Генераторы сигналов
- Анализаторы спектра
- Тестовые приёмники
- Сетевые анализаторы
- Измерители мощности
- Анализаторы аудио сигналов
Правда или ложь: 30 дБм + 30 дБм = 60 дБм? Почему один раз 1% равен -40 дБ, а потом
0,1 дБ или 0,05 дБ уже в следующий раз с такой же величиной? Эти вопросы иногда заставляют ломать голову даже опытных инженеров. Децибелы встречаются повсюду, включая уровни мощности, напряжения, коэффициенты отражения, коэффициенты шума, напряженность поля и многое другое. Что такое децибел и как его использовать в наших расчетах? Данное руководство по применению предназначено для повышения квалификации по тематике «децибел».

1 Введение
%, дБ, дБм и дБ (мкВ/м) — важные понятия, которые каждый инженер должен понимать хоть даже во сне. Потому что, если он этого не сделает, он обязательно окажется в невыгодном положении в процессе своей работы. Когда эти термины всплывают в обсуждениях с клиентами или коллегами, такому инженеру будет трудно сосредоточиться на реальной проблеме, если он занят вопросом, означает ли 3 дБ коэффициент 2 или 4 (или что-то еще). Стоит время от времени пересматривать эти концепции обозначения характеристик и постоянно с ними знакомиться в целях перезагрузки памяти
Хотя это руководство по применению не предназначено в качестве учебника, тем не менее, оно поможет освежить ваши знания по этой теме, конечно же, если вы изучали её раньше, или руководство (мы надеемся) предоставит достойное введение в курс дела, если эта тематика для вас нова.
Когда дело доходит до написания формул и единиц измерения, мы следовали международным стандартам, указанным в ISO 31 и IEC 27 (или же мы указали, где могут иметь место отклонения от стандартов).
2 Зачем при расчётах применять такие единицы измерений как децибелы?
Инженерам ежедневно приходится иметь дело с числами, и некоторые из этих чисел могут быть очень большими или очень маленькими. В большинстве случаев самое важное — это соотношение двух величин. Например, базовая станция мобильной радиосвязи способна транслировать приблизительно с мощностью 80 Вт (включая усиление антенны), а мобильный телефон принимает только около 0,000 000 002 Вт, что составляет 0,000 000 002 5 % передаваемой мощности.
Всякий раз, когда нам приходится иметь дело с большими числовыми диапазонами, удобно использовать логарифмическое представление чисел. Например, базовая станция в нашем примере транслирует со скоростью +49 дБм, тогда как мобильный телефон принимает -57 дБм, тем самым, получается раззница уровней +49 дБм - (-57 дБм) = 106 дБ.
Другой пример: если мы объединим два усилителя с коэффициентом усиления 12 и 16 соответственно, мы получим общий коэффициент усиления 12, умноженный на 16 = 192.
В логарифмическом выражении оба усилителя имеют коэффициент усиления 10,8 дБ и 12 дБ соответственно, что дает общий коэффициент усиления 22,8 дБ, который, безусловно, легче рассчитать.
Если представить вышеперечисленные величины в децибелах, то становится очевидным, что этими величинами гораздо легче манипулировать. Значительно проще складывать и вычитать значения в децибелах в уме, чем умножать или делить многоразрядные линейные значения.
Вот это и есть основная причина, по которой инженеры в подавляющем большинстве случаев предпочитают производить расчёты в децибелах.
2.1 Определение dB
Хотя десятичное логарифмическое отношения двух параметров мощности является безразмерной величиной, это отношение имеет единицы измерения «Бел» в честь изобретателя телефона (Александра Грэма Белла). Чтобы получить более понятные числа, мы используем дБ (децибел, где «деци» означает одну десятую часть) вместо бел для вычислительных целей. Нам нужно умножить величину Bel на 10 (точно так же, как нам нужно разделить расстояние на 1000, если мы хотим использовать миллиметры вместо метров).

Как уже выше упоминалось, преимущество использования таких единиц измерений, как децибел заключается в том, что невероятно огромный диапазон сигналов, обычно встречающихся в телекоммуникациях и радиочастотной технике, может быть представлен более вменяемыми и понятными числами.
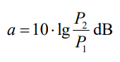
Пример:
P1 равен 200 Вт, а P2 равен 100 мВт. Вопрос: Каково их соотношение a в дБ?

Конечно, прежде чем разделить эти параметры мощности, мы должны преобразовать их в одну и ту же единицу измерения, то есть Вт или мВт. Правильный результат невозможен, если просто разделим 200 на 100.
В настоящее время мы используем исключительно логарифмы по основанию 10, т.е сокращение логарифма по основанию 10 — lg. В старых учебных пособиях ещё можно увидеть натуральный логарифм, который является логарифмом по основанию e (e = примерно 2,718).
В настоящем руководстве используется только логарифм по основанию 10, который сокращается до lg без дальнейшего указания основания.
Конечно, также возможно преобразовать децибелы обратно в линейные значения. Сначала мы должны преобразовать дБ в Бел, разделив значение на 10. Затем мы должны возвести число 10 (поскольку мы используем логарифм по основанию 10) в эту степень (см. формулы ниже):
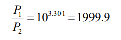
Пример:
a = 33.01 dB, что такое P1 / P2?
После первого этапа расчётов 33.01 / 10 = 3.301, полается:

2.2 Что означает единица dBm?
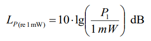
Если мы отнесем произвольную величину мощности к фиксированной эталонной величине, то логарифмическое отношение двух значений дает новую абсолютную величину. Эта величина определяется как уровень.
Эталонной величиной, наиболее часто используемой в телекоммуникациях и радиочастотной технике, является мощность 1 мВт (одна тысячная одного ватта) на нагрузке 50 Ом.
Общее соотношение мощности P1 к P2 теперь становится соотношением P1 к 1 мВт. Логарифмическое соотношение обеспечивает уровень L. Согласно IEC 27 эталонное значение должно быть указано в индексе уровня:

или короткая форма:

Например: 5 mW соответствует уровню LP/1mW = 6.99 dB.
Для обозначения эталонного 1 мВт ITU ввел единицу измерения dBm. Эта единица более распространена, чем терминология IEC 27, и будет использоваться в этом руководстве. При этом рассмотренный пример выглядит следующим образом:

Чтобы пояснить о порядках величин, с которыми частенько сталкиваются инженеры, вот несколько примеров:
1. Диапазон выходной мощности генераторов сигналов обычно расширяется от -140 dBm до +20 dBm или от 0,01 фВт (фемтоватт) до 0,1 Вт.
2. Базовые станции мобильной радиосвязи транслируют при +43 dBm или 20 Вт. Мобильные телефоны передают при мощности от +10 dBm до +33 dBm или от 10 мВт до 2 Вт.
3. Вещательные передатчики работают при мощности от +70 dBm до +90 dBm или от 10 кВт до 1 МВт.
2.3 В чем разница между децибелами напряжения и децибелами мощности?
Во-первых, забудьте всё, что вы когда-либо слышали о напряжении и мощности в децибелах. Существует только один тип децибела, и он представляет собой соотношение двух уровней мощности P1 и P2. Конечно, любой уровень мощности можно выразить как напряжение, если мы знаем сопротивление.

Мы можем вычислить логарифмическое отношение следующим образом:

Используя следующие 3 знакомые формулы расчётов,

Мы получаем следующее (снова используя lg для обозначения логарифма по основанию 10):

Обратите внимание на знак минус перед сопротивлением.
В большинстве случаев опорное сопротивление одинаково для обоих уровней мощности, т. е. R1 = R2.
Поскольку
10·lg(1)=0
Мы можем упростить следующим образом:
(упрощенно для R1 = R2!)
Это также объясняет, почему применяется 10•lg для коэффициентов мощности и 20•lg для коэффициентов напряжения.
Внимание: (Очень важно!) Эта формула справедлива только в том случае, если R1 = R2. Если, как это иногда происходит в телевизионной технике, нам нужно учесть преобразование из 75 Ом в 50 Ом, то нужно учитывать соотношение сопротивлений.
Преобразование обратно в линейные значения происходит так же, как и раньше. Для коэффициентов напряжения мы должны разделить значение a на 20, поскольку мы используем U2 и децибелы (20 = 2·10, 2 от U2, 10 от децибел).

2.4 Что такое уровень?
Как было представлено выше, дБм относится к уровню мощности в 1 мВт. Другие часто используемые эталонные величины включают 1 Вт, 1 В, 1 мкВ, а также 1 А или 1 мкА. Согласно IEC 27 они обозначаются как дБ(Вт), дБ(В), дБ(мкВ), дБ(А) и дБ(мкА) соответственно, или при измерениях напряженности поля - дБ(Вт/м2), дБ. (В/м), дБ (мкВ/м), дБ (А/м) и дБ (мкА/м). Как и в случае с дБм, общепринятый способ записи этих единиц в соответствии с МСЭ: дБВт, дБВ, дБмкВ, дБА, дБмкА, дБВт/м2, дБВ/м, дБмкВ/м, дБА/м и дБмкА/м.
Эти единицы будут использоваться в данном руководстве.
Из относительных значений уровня мощности P1 (напряжение U1), относящихся к уровню мощности P2 (напряжение U2), мы получаем абсолютные значения, используя приведенные выше справочные значения.
Эти абсолютные значения также известны как уровни. Уровень 10 дБм означает значение, которое на 10 дБ выше 1 мВт, а уровень -17 дБ(мкВ) означает значение, которое на 17 дБ ниже 1 мкВ.
При расчётах этих величин важно помнить, являются ли они величинами мощности или величинами напряжения. Некоторые примеры величин мощности включают мощность, энергию, сопротивление, коэффициент шума и плотность потока мощности.
Величины напряжения (также известные как величины поля) включают напряжение, ток, напряженность электрического поля, напряженность магнитного поля и коэффициент отражения.
Примеры:
Плотность потока мощности 5 Вт/м2 имеет следующий уровень:

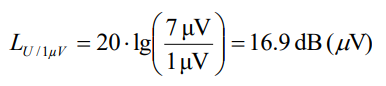
Напряжение 7 мкВ также можно выразить как уровень в дБ(мкВ):

Для преобразования уровней в линейные значения необходимы следующие формулы.:

Примеры:
Уровень мощности -3 дБ(Вт) имеет следующую мощность:

Уровень напряжения 120 дБ(мкВ) соответствует напряжению:
2.5 Затухание и усиление
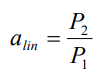
Линейная передаточная функция alin двухполюсной схемы представляет собой отношение выходной мощности к входной мощности:

Рис. 2-1: Двухполюсная схема

Передаточная функция обычно указывается в дБ:
Если выходная мощность P2 двухполюсной схемы больше входной мощности P1, то логарифмическое отношение P2 к P1 положительно. Это известно как усиление.
Если выходная мощность P2 двухполюсной схемы меньше входной мощности P1, то логарифмическое отношение P2 к P1 отрицательно. Это известно как затухание или потеря (знак минус опускается).
Для расчета коэффициента мощности или коэффициента напряжения по значению в децибелах используются следующие формулы:

Обычные усилители реализуют усиление до 40 дБ в одном каскаде, что соответствует коэффициенту усиления до 100 и коэффициенту мощности до 10000. При более высоких величинах существует риск возникновения колебаний в усилителе. Однако более высокий коэффициент усиления можно получить, подключив несколько каскадов последовательно. Проблему колебаний можно избежать с помощью подходящего экранирования.
Наиболее распространенные аттенюаторы имеют значения 3 дБ, 6 дБ, 10 дБ и 20 дБ. Это соответствует коэффициентам напряжения 0,7, 0,5, 0,3 и 0,1 или коэффициентам мощности 0,5, 0,25, 0,1 и 0,01. Здесь мы также должны соединить несколько аттенюаторов каскадом, чтобы получить более высокие значения. Если мы попытаемся получить более высокое затухание за один этап, то присутствует риск перекрестных помех.
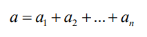
2.5.1 Последовательное соединение двухполюсных цепей:
В случае последовательного соединения (каскадирования) двух портовых схем можно легко вычислить общий коэффициент усиления (или общее затухание), сложив значения в децибелах.

Рис. 2-2: Каскадные двухполюсные схемы
Общее усиление рассчитывается следующим образом:

Пример:
На рис. 2-2 показаны входные каскады приемника. Общее усиление рассчитывается следующим образом:
a = -0.7 dB + 12 dB - 7 dB + 23 dB = 27.3 dB.
Продолжение следует
Магазин
Gtest® - авторизованный поставщик Анализаторов Спектра в
Украину: https://gtest.com.ua/izmeritelnye-pribory/analizatory-radiochastotnogo-spektra
