ОСЦИЛОГРАФИ. ВЕРТИКАЛЬНИЙ ДОЗВІЛ. ЩО ЦЕ? ЧАСТИНА 2
Магазин Gtest(R) пропонує широку
номенклатуру Осцилографів на сторінці сайту в самому
кінці цього Розділу, а також рекомендовані прилади та статті для самоосвіти
ENOB (Ефективна кількість бітів)
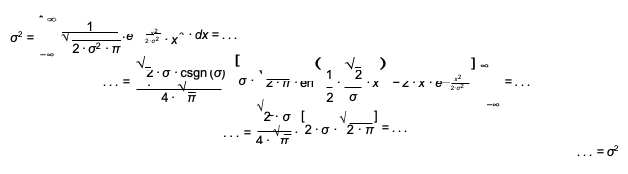
При описі відношення сигнал/шум (SNR) системи ми порівнюємо середньоквадратичне (rms) значення сигналу, так і шуму з одиницями вимірювання Вольт (rms). Середньоквадратичну напругу форми сигналу часто називають ефективною напругою. Середньоквадратичне значення вектора виражається як:

Це те саме, що й стандартне відхилення сигналу із середнім значенням сигналу (без компонента нульової частоти (DC)).
Середній або DC-компонент сигналу:

а стандартне відхилення одно:

Ми бачимо, що якщо µ = 0, то стандартне відхилення дорівнює середньоквадратичному значенню. При вимірі SNR прийнято порівнювати сигнали, що не включають компоненту DC сигналу або шуму, і приписувати помилки іншим джерелам.
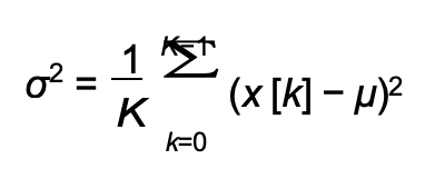
Повертаючись до помилки квантування ε [k], ми знаємо, що, статистично кажучи, ми маємо помилку, яка рівномірно розподілена в межах 1/2 коду.
Тому шум квантування можна виразити як1:

Середньоквадратичне значення розраховується шляхом інтегрування PDF, помноженого на x2, по всьому діапазону можливостей.
Наприклад, для нормального розподілу з нульовим середнім значенням маємо:

Таким чином, середньоквадратичний шум в осцилографі, обумовлений квантуванням згідно з (1), можна виразити як:

який ми зазвичай виражаємо у децибелах (дБ) щодо 50 мВт на 50 Ом (дБм) як:

Середньоквадратичне значення повної синусоїди становить:

Це також можна виразити в дБм так:

SNR розраховується шляхом віднімання шуму з сигналу наступним чином:


Таким чином, для восьми-, десяти- і дванадцятибітного осцилографа абсолютний найкращий можливий SNR становить 49,92, 61,96 і 74 дБ відповідно, але, як ми побачимо, ці абсолютні межі застосовні до дігітайзер, корисний частотний контент яких охоплює всю смугу .
Ось чому ми раніше говорили, що дискретизація часу в ідеалі не впливає на безперервний вимірювання аналогового сигналу, але квантування додає недосконалість у вигляді шуму, що додається до вимірювання.
Рівняння (5), коли вирішено щодо B, дає вимір ефективного дозволу, званого ENOB

Таким чином, враховуючи вимірювання SNR, ми можемо перетворити його на системний показник якості, що вимірюється повністю як ефективний дозвіл.
Взагалі, компоненти спотворення також враховуються у вимірах ENOB, тому, строго кажучи, (6) можна розглядати як ENOB тільки через шумові ефекти. Якщо в системі немає інших джерел шуму, ENOB буде оцінюватися як кількість біт у квантувачі або перетворювачі.
При проектуванні осцилографів високої роздільної здатності однією з цілей є отримання максимального ENOB, який завжди буде обмежений певний момент кількістю біт дозволу. У наступних розділах ми поговоримо про інші джерела шуму в системі, які знижують SNR і, отже, ENOB.
Перебільшення ENOB
При невеликому відхиленні, строго кажучи, (2) (і, отже, (3)) справді справедливо лише перетворення дозволу квантувача в очікуваний среднеквадратический шум, коли розподіл шуму цілком рівномірно. Отже, (6) справедливо лише тоді, коли помилка абсолютно рівномірно розподілена, як випливає з (3), і це було б справедливо, якби до системи був застосований нахил, що охоплює всі коди. Якби до системи був застосований чистий постійний струм і не було інших джерел шуму, це було б явно неправильно – помилка була б постійною. При вимірі ефективних бітів ми зазвичай вимірюємо щодо частоти. Це тому, що компоненти спотворення зазвичай є функцією частоти. Але SNR також може бути функцією частоти, коли є джиттер. Тремтіння має тенденцію підвищувати рівень шуму на більш високих частотах. У будь-якому випадку SNR зазвичай вимірюється із застосуванням повномасштабної або майже повномасштабної синусоїди [3]. Рівняння (3) передбачає рівномірно розподілена помилка.

Рисунок 2 - Перебільшення ефективних бітів із застосуванням синусоїд
Можна показати за допомогою моделювання, що синусоїда переважно містить рівномірно розподілений шум квантування. Можна також показати, що через невелику нерівномірність (6) має тенденцію трохи завищувати ефективні біти для застосованих синусоїд, але це завищення значно зменшується з числом біт. На малюнку 2 бачимо це завищення. Тут ми показуємо за допомогою емпіричних вимірів, що можна підігнати функцію, яка є логарифмічно лінійною, яка виражає це завищення як:

Для квантувачів, що перевищують п'ять біт, ця помилка становить менше 0,05 біт, а квантувачів, що перевищують сім біт, помилка становить менше 0,025 біт.
Джерела шуму в осцилографах
Ефективна роздільна здатність, показана в (6), обмежена роздільною здатністю АЦП, але помилка квантування - не єдине джерело шуму в осцилографі, і зазвичай навіть не є домінуючим джерелом шуму. Домінуючим джерелом шуму в осцилографі, як правило, є вхідний підсилювач.
На малюнку 3 показаний приклад джерел шуму каналі осцилографа. Тут у нас є вхідний сигнал користувача Vin, сам по собі з доданим до нього шумом, що надходить в осцилограф. Вхідний підсилювач додає шуму до сигналу. У цій конкретній конструкції два виходи вхідного сигналу управляють двома входами АЦП, які додають свій власний шум. Кожен вхід АЦП управляє чотирма внутрішніми АЦП, які додають шум, переважно у вигляді шуму квантування через обмеженого дозволу.
Важливо розуміти, що джерело шуму, що часто ігнорується: шум на сигналі користувача, якщо він присутній, не може бути видалений. Це тому, що осцилограф не знає, що шум є рівним шумом. На його думку, шум — це сигнал, і його завдання — точно відтворити сигнал.
Це важливий момент.
Рисунок 3 - Приклад джерел шуму в каналі осцилографа
Пам'ятайте під час вимірювання ENOB і шуму, і ми повинні пам'ятати про використання джерела з низьким рівнем шуму високої точності і іноді фільтрів, інакше ми могли б вимірювати шум у джерелі, а не в каналі. Підсилювач вхідного сигналу додає найбільше шуму. Зазвичай він складається з декількох каскадів посилення, що вибираються, тому часто існує стратегія реалізації, яка може забезпечити найменший шум щодо розміру сигналу. Важливо розуміти, що шум, доданий до сигналу в підсилювачі вхідного сигналу, викликає проблему, оскільки він також не відрізняється від шуму на вхідному сигналі користувача і є загальним всім низхідних шляхів, як показано.
Робота АЦП, як і всіх елементів, полягає в тому, щоб точно оцифровувати подану йому форму сигналу, але той факт, що два входи АЦП додають різний шум є можливістю, яку ми обговоримо. Нарешті кожен внутрішній АЦП додає свій шум квантування і, можливо, інші типи шуму.
Важливими параметрами кожного джерела шуму в системі є:
- Очевидно, розмір шуму.
- Кореляція між джерелом та іншими джерелами.
- Розташування джерела шуму по дорозі сигналу і наскільки поширений джерело шуму стосовно інших шляхів у системі.
- Спектральні властивості шуму.
Далі ми поговоримо про те, як можна використовувати знання джерел шуму для покращення ефективного дозволу.
Джерела шуму в осцилографах
Кореляція чи джерела шуму — це термін у статистиці, який визначає, наскільки одне джерело шуму пов'язані з іншим. Кореляція джерел шуму може бути перевагою або недоліком видалення шуму за допомогою різних методів обробки. Можлива перевага представлена, якщо в даному потоці даних форми хвилі даний зразок не пов'язаний або не корелює з іншими зразками.

Рисунок 4 - Декілька шляхів у каналі осцилографа
Найбільш поширена перевага досягається за рахунок відсутності кореляції шуму в кількох шляхах через систему. Наприклад, на малюнку 3, щодо кількох підключень підсилювача вхідного сигналу до дигітайзера, ми можемо розділити сигнал принаймні на два системні шляхи, як показано на малюнку 4. Тут у нас є один шлях, показаний сірим, та інший шлях, показаний срібним. У звичайній компонуванні внутрішні АЦП до дигітайзеру чергуються за часом, що означає, що кожен другий зразок надходить із сірого та срібного шляху. Оскільки два шляхи мають загальний шум у сигналі користувача та шум від вхідного сигналу, цей шум має бути корельований у кожному з шляхів – це той самий шум. Але шум у двох окремих виходах вхідного сигналу/входах АЦП може бути некорельований, як і шум окремих дигітайзерів. У тій мірі, в якій частина шуму в окремих частинах шляхів некорельована, представлена перевага, яку можна використовувати. Припустимо, наприклад, що внутрішні АЦП виконують вибірку зі швидкістю 5 Гвиб/с, ми маємо два окремих потоки 20 Гвиб/с у сірому та срібному трактах. Якщо вміст вхідного сигналу перевищує 10 ГГц, два потоки можна організувати для одночасної вибірки сигналу, і їхнє середнє значення матиме менше шуму, ніж окремий потік 20 Гвиб/с, тією мірою, в якій шум у двох трактах некорельований. У цьому випадку, однак, результуючий усереднений потік 20 Гвиб/с буде недовибіркою сигналу, що, як правило, небажано. Якщо вміст вхідного сигналу нижче 10 ГГц, то одночасна вибірка та усереднення двох потоків призведуть до досить вибіркового потоку 20 Гвиб/с. Цей результуючий потік можна не тільки перевибрати назад до 40 Гвиб/с, забезпечивши перевагу перевибірки, що надається в системі з тимчасовим чергуванням, але й кожен із потоків 20 Гвиб/с міг би бути спочатку перевибірковим і забезпечити ту ж перевагу. Це пов'язано з тим, що один із двох потоків може бути повторно семпльований (дискретизований) у ту ж фазу семплювання (дискретизації), що й інший, усереднений та підвищено дискретизований.
Перевага цього усереднення залежатиме від двох речей:
- Величина шуму на окремих ділянках колії щодо загальних ділянок колії.
- Ступінь відсутності кореляції між шумом окремих ділянках шляху.
Кількісну оцінку вигоди можна в обмеженому значенні описати так:
- Якщо весь шум потрапляє в загальну частину шляху, то зиск дорівнює нулю.
- Якщо шум на окремих ділянках колії повністю корельований, то зиск дорівнює нулю.
- Якщо весь шум потрапляє в окремі ділянки шляху і повністю некорельований, то вигода від усереднення двох потоків еквівалентна половині біта роздільної здатності.
Таким чином, шумовий виграш за рахунок усереднення двох потоків може бути обмежений і знаходиться між нулем та половиною біта роздільної здатності. Нульова межа ясна, усереднення двох потоків, які є однаковими, не призводить до будь-яких змін. Поліпшення дозволу на половину біта описується статистично:
Для двох випадкових величин з однаковим середнім (вмістом сигналу) та нормально розподіленим некорельованим шумом ми можемо записати їх як:

Де µ – середнє значення, а σ – стандартне відхилення. Середнє значення цих двох потоків можна записати так:

Якщо величини σX і σY однакові, то результуюче стандартне відхилення (і (тут) середньоквадратичне відхилення, а отже, і ENOB (тільки через шум) згідно (6) збільшується на 0,5 біта.
Магазин Gtest® - авторизований постачальник осцилографів в Україну: https://gtest.com.ua/izmeritelnye-pribory/ostcillografy
ПРОДОВЖЕННЯ СЛІДУЄ…
