Импульсные источники питания как важнейшая составляющая системы измерений (ЧАСТЬ 4)
Ссылка на
страничку сайта Магазина Gtest(R) с номенклатурой источников питания постоянного тока, а также рекомендуемые приборы и статьи для
дальнейшего самообразования - в самом конце этого Раздела
Измерение пускового тока с использованием I2t
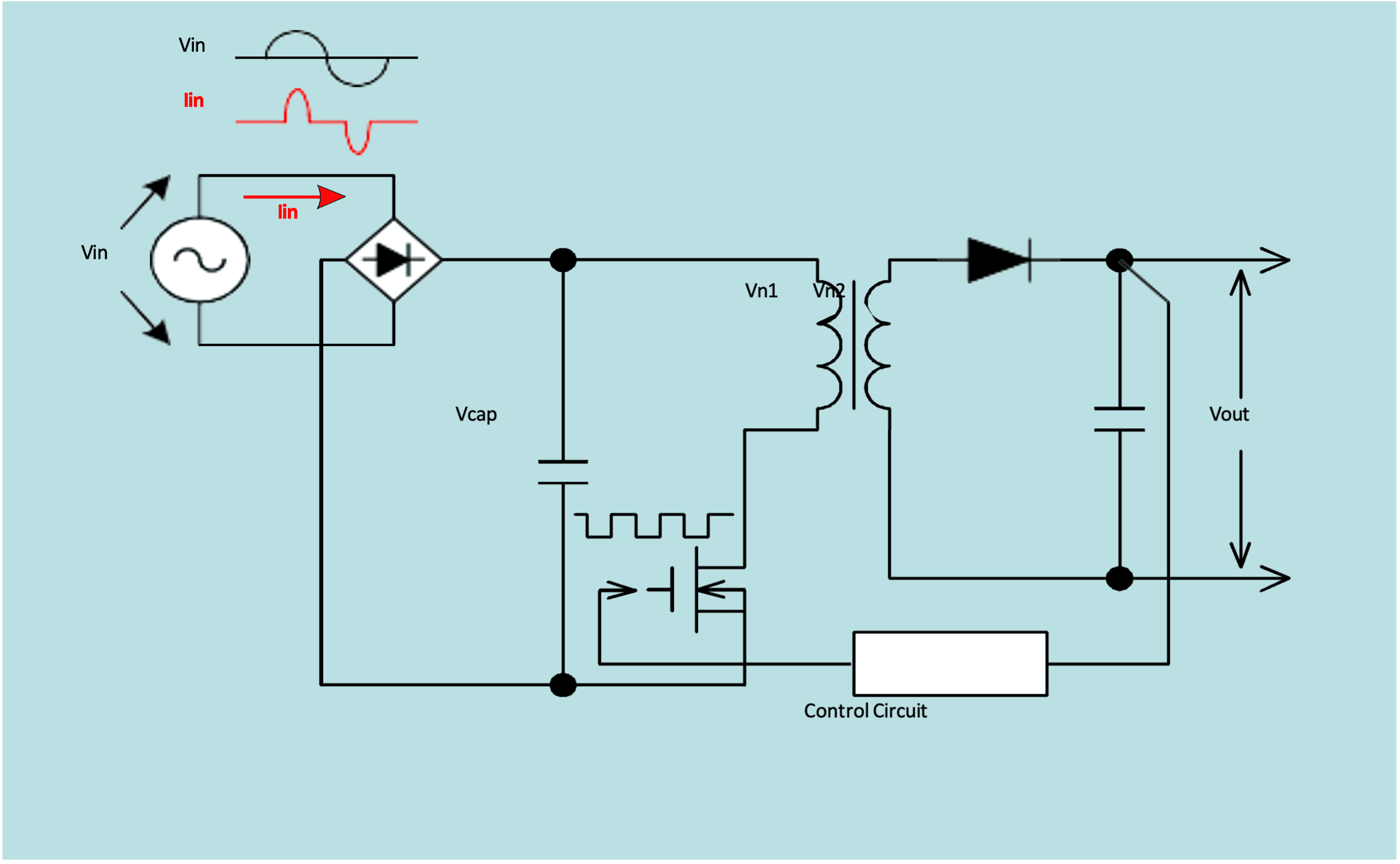
Импульсные источники питания с конденсаторным входом демонстрируют большие пусковые токи при запуске. Пусковой ток измеряется для проверки того, протекает ли в различных частях ток, превышающий допустимое значение тока. Кроме того, при выборе предохранителей проверяется ключевой параметр конструкции I2t (максимальный ток в квадрате x время).
Рисунок 33 – Пример.
Проверка I2t: параметр выбора предохранителя
I2t (ток в квадрате x время) можно измерить напрямую, используя специальные параметры источника питания, предоставляемые функцией анализа источника питания DLM2000/DL9000. Если используется MATH (вычислительные функции), результаты I2t могут быть отображены в виде формы сигнала для визуального подтверждения. Точки измерения представлены Vin и Iin на рисунке выше. Чтобы измерить значение нужной части, поместите курсоры на измеренную форму сигнала, чтобы определить диапазон. Это повышает надежность и сокращает время оценки, поскольку нет необходимости выполнять отдельный расчет с использованием измеренного значения тока.
Измерение качества линии (мощности)
Проектирование импульсного источника питания требует оценки качества первичной линии питания импульсного источника питания. Фактические формы напряжения и тока линии питания не являются идеальными синусоидами, а скорее включают искажения и другие явления. Такие аномалии влияют на потребление энергии, эффективность и надежность, поэтому важно измерять качество линии (питания).
Функция анализа источника питания DL9000 поставляется с множеством операторов параметров для измерения качества линии (питания), таких как полная мощность, активная мощность, коэффициент мощности и другие характеристики.

Рисунок 34 – Элементы измерения для каналов напряжения (CH1, CH3).
Рисунок 35 – Элементы измерения для текущих каналов (CH2, CH4).

Рисунок 36 – Пример измерений параметров линии.
Подробная информация об автоматических параметрах измерения (DL9000)

Параметры напряжения

Параметры тока

Анализ гармоник
Когда нагрузка подключена к источнику питания, нормально иметь непрерывный текущий ток и содержать большое количество искажений. Форма волны напряжения также искажается в соответствии с гармоническим током. Было введено «Руководство по снижению гармонического излучения», поскольку это может вызвать проблемы с оборудованием. Можно анализировать гармоники, излучаемые для DUT для каждого применимого класса (A-D) с помощью DLM2000/DL9000. Рекомендуется использовать наши цифровые измерители мощности и программное обеспечение для измерения гармоник (модель 761921) для выполнения точных измерений, соответствующих стандарту. Однако функции гармонического анализа серии DLM2000/DL9000 являются эффективными инструментами для грубой оценки характеристик.

Рисунок 37 – Точка измерения.
С помощью DLM2000/DL9000 можно вычислить гармоники, излучаемые тестируемым устройством, определенные стандартом IEC61000-3-2 для каждого применимого класса (A–D), а результаты можно отобразить на гистограмме или в списке, сравнивающем предельные значения гармонического тока с вычисленными значениями. При проверке совместимости стандартов его можно использовать для отладки цепи с высокими гармониками (PFC: коррекция коэффициента мощности).

Рисунок 38 – Пример отображения списка (DL9000). Фактическое измеренное значение каждого порядка гармоники отображается вместе с предельными значениями, а любые данные, превышающие предел, отмечаются.

Рисунок 39 – Пример отображения графика (DL9000).
Оценка источников питания: краткое изложение основных моментов
Ключевые моменты
Наблюдение за внутренними формами сигналов цепи, проверка рабочего состояния и подтверждение безопасности и потерь в используемых устройствах.
(1) Наблюдение за формами сигналов и измерение параметров Наблюдение за формами сигналов ввода-вывода, сигналами управления, формами сигналов во время чрезмерных операций и различными типами форм сигналов, которые возникают во время отклонений и в других ситуациях, а также измерение параметров.
(2) Измерение потерь при переключении
Измерение мощности с использованием интегралов напряжения и тока коммутационного устройства. Имеет функцию исправления ошибок потерь.
(3) Подтверждение области безопасной работы (SOA)
Рабочее состояние/предел значений напряжения, тока и мощности коммутационного устройства
(4) Гармонический анализ
Искажение формы сигнала входного тока. Поддержка ЭМС.
Краткое описание функций опции анализа электропитания серии DLM2000/DL9000
Функции и характеристики опции анализа электропитания серии DLM2000/DL9000 (/G4), которая выполняет задачи анализа и оценки электропитания, обобщены ниже.
· Коррекция разницы во времени передачи между анализируемыми сигналами (выравнивание перекоса).
После подключения зонда и источника сигнала регулировки перекоса вы можете автоматически или вручную скорректировать (выравнивать перекос) разницу во времени передачи между сигналами и измерить элементы анализа электропитания. Используйте источник сигнала коррекции перекоса модели 701935.
· Расчет потерь при переключении.
Можно измерить общие потери (электрические потери) и потери при переключении (потери электроэнергии во время переключения) устройства. Он также имеет встроенную функцию коррекции (уменьшения) ошибок вычислений и функцию автоматической настройки для диапазона вычислений. Он также поддерживает статистические вычисления для нескольких циклов переключения, зафиксированных длинной памятью.
· Анализ безопасной рабочей области (SOA).
Можно оценить SOA с помощью функции отображения X-Y. Поместите курсор на SOA, чтобы прочитать значения. Можно сделать вывод, сравнив со значениями в спецификации устройства.
· Гармонический анализ (поддержка ЭМС).
Гармонии, генерируемые тестируемым оборудованием*2, как определено стандартом МЭК*1, можно анализировать для каждого применимого класса (от A до D). Для сравнения пределов гармонического тока и анализируемых значений можно отобразить столбчатые диаграммы и списки.
Излучение гармонического тока «IEC 61000-3-2 (Электромагнитная совместимость (ЭМС) - Часть 3-2: Пределы - Пределы для излучения гармонического тока (входной ток оборудования [меньше или равен] 16 А на фазу)) Издание 2:2.
EN6100-3-2 (2000)
IEC 61000-4-7 Издание 2.
Электрическое и электронное оборудование с входным током до 16 А на фазу и подключенное к общественным низковольтным распределительным системам.
Однако серия DLM2000/DL9000 может вычислять только гармоники однофазного оборудования. Она не может вычислять гармоники трехфазного оборудования.
· Измерение бросков тока с помощью I2t.
Вычислите I2t (максимальный ток в квадрате x время), чтобы отобразить форму волны и вычисленное значение. Можно оценить бросок тока при запуске для импульсных источников питания с конденсаторным входом и оценить рекомендации по выбору предохранителя.
Магазин Gtest® - официальный поставщик источников (блоков) питания постоянного тока в Украину: https://gtest.com.ua/izmeritelnye-pribory/bloky-pitaniya
