Розробка пірометра, що вимірює справжнє температурне поле двовимірної решітки ЧАСТИНА 2
Посилання на сторінку сайту Магазину Gtest(R) з
номенклатурою пірометрів (ІК термометрів), а також рекомендовані прилади та
статті для подальшої самоосвіти - наприкінці цієї Розділу
3.2.3 Высокоскоростная система сбора данных
Пірометр з двомірною матрицею повинен збирати інформацію про температурне поле двовимірної матриці, включаючи десять цілей, і кожна мета містить шість каналів. Кожен канал повинен збирати двоступінчасті дані про напругу (контур перетворення I/V і контур посилення V/V) одночасно, тому він повинен задовольняти вимогу збору 120 сигналів одночасно. Максимальна швидкість одного каналу має досягати 100 кГц у процесі збирання даних.
У цьому роботі дві карти збору даних USB5630 використовуються створення високошвидкісної системи збору даних. Одна карта збору даних USB5630 має 64 доступні канали, і тут ми використовуємо метод 64 односторонніх аналогових входів. Максимальний діапазон напруги збору може бути ±10, ±5, ±2,5, 0~10 і 0~5 (тут ми використовуємо ±10 В), а швидкість збору одного каналу може досягати 500 кГц. Тут вибірка мультиплексована. Роздільна здатність АЦП становить 16 біт, а роздільна здатність напруги може бути 1216− 1∗ 20 В ≈ 1216−1∗20 В ≈0,3 мВ тут. USB або Ethernet можуть бути вибрані для передачі даних збору для досягнення функції збору, зберігання та обробки даних. У роботі прийнята передача Ethernet, а максима
Физическое изображение карты сбора данных USB5630 показано на рисунке 10 .

Рисунок 10. Физическое изображение карты сбора данных USB5630, ( а ) снаружи и ( б ) внутри.
3.3 Проектирование программной части
Програмна частина використовує Visual Studio 2015 як платформу та C# як мову програмування для розробки програмного забезпечення. Всі експерименти в цій статті використовують те саме комп'ютерне середовище: Intel (R) Core (TM) i7-7700Hp @ 2.80 GHz.
Основна мета програмної системи - отримання даних про напругу, отриманих картою збору даних, та обробка даних для отримання справжніх температур мети у різний час. Програмна частина в основному складається з калібрування пірометра, збору даних та обробки даних. Блок-схема програмної частини показано малюнку 11 .

Рисунок 11. Блок-схема программной части.
Программная часть в основном включает три функции:
(1) Калибровка пирометра: В процессе калибровки вызывается база данных ACCESS для реализации хранения данных температур калибровки. Происходит процесс вызова основных операций ACCESS, таких как создание, проектирование, подключение, изменение в реальном времени, отключение, закрытие базы данных и т. д. Изменение базы данных в реальном времени включает в себя вставку, обновление, удаление, запрос и другие операции.
(2) Сбор данных: Когда высокоскоростная система сбора данных собирает данные, ей необходимо перенести данные о напряжении в буферной области в файл txt для хранения, чтобы предотвратить их перезапись следующими данными. Процесс внедрения включает создание, сохранение, изменение, удаление, выход и другие операции файла txt.
(3) Обработка данных: В процессе обработки данных из рассчитанных данных о напряжении и собранных данных о напряжении получается информация об эквиваленте энергии, а затем истинная температура двумерной целевого массива рассчитывается методом вторичного измерения.
4. Калибровка
Процедура калибровки следующая:
(1) Закройте крышку объектива пирометра;
(2) Возьмите 500 выборок данных выходного напряжения, возьмите среднее значение и получите нулевое напряжение;
(3) Откройте крышку объектива и направьте пирометр на окно высокотемпературной печи черного тела, в которой температура высокотемпературного черного тела измеряется стандартным пирометром;
(4) Когда температура постоянна, запишите значение выходного напряжения и вычтите нулевое напряжение;
(5) Запишите данные выходного напряжения (после вычитания нулевого напряжения) и измеренной температуры в ACCESS.
Сцена калібрування поля показана малюнку 12. При викликі даних напруги калібрування спочатку викликаються дані другого етапу. Коли дані другого етапу перевищують 9900 мВ, вони розглядаються як дані насичення, потім викликаються дані першого етапу. Завдяки процесу, згаданому вище, пірометр може отримати криву напруги в залежності від температури та зберегти параметри припасування.

Рисунок 12. Полевая калибровка.
5. Неопределенность
Неопределенность двумерного матричного пирометра получается путем трехчастного синтеза: неопределенность схемы, неопределенность калибровки и неопределенность истинной температурной конструкции.
5.1 Неопределенность схемы
Неопределенность схемы в основном обусловлена температурным дрейфом и шумом кремниевого фотоэлектрического детектора, шумом схемы преобразования I/V и шумом схемы усиления V/V.
5.1.1 Неопределенность кремниевого фотоэлектрического детектора
Уравнение для расчета дрейфа кремниевого фотоэлектрического детектора составляет ± 0,10 %.
Шум кремниевого фотоэлектрического детектора в основном обусловлен дробовым шумом и тепловым шумом [ 18 , 20 ].
Дробовой шум генерируется случайным током PN-перехода кремниевого фотоэлектрического детектора и оценивается в соответствии сяэтцс=2qIсΔ ф √яэтцс=2qIсΔф(где q — электрический заряд1.6 ∗10− 191.6∗10−19C, рабочая полоса пропускания диода Δ фΔф= 1 МГц, ияс=10− 7Аяс=10−7А).
Тепловой шум генерируется свободным тепловым движением электронов кремниевого фотоэлектрического детектора и рассчитывается по формуле яэтзр=4 КТ Δ фРш √яэтзр=4КТΔфРш(где K — постоянная Больцмана, аРш=109Рш=109сопротивление байпаса).
Таким образом, неопределенность шума равна ≈ 0,17 %.
Неопределенность кремниевого фотоэлектрического детектора составляет ≈0.20%.
5.1.2 Неопределенность схемы преобразования I/V и схемы усиления V/V
Невизначеність схеми перетворення I/V заснована на AD820, та її температурний дрейф розраховується по формулешт. 1= [ΔеосΔ Т(Рф1+РшРф1Рш) +ΔябΔ Т]Δ Тястіеа1=[ΔеосΔТ(Рф1+РшРф1Рш)+ΔябΔТ]ΔТяс (деΔеосΔ Т= 2 мкV/KΔеосΔТ=2μВ/Кдрейф напруги Т= 2 пА/КΔябΔТ=2пА/К, а опір зворотного зв'язку підсилювача першого каскаду Рф1= 10 МОм Рф1=10 МОм. посилення V/V заснована на OP07, а її температурний дрейф розраховується за формуле 2= [ΔеосΔ Т(Рф2+Р2Рф2) +ΔябΔ ТР2]Δ ТВстиеа2=[ΔеосΔТ(Рф2+Р2Рф2)+ΔябΔТР2] кОм, вхідна напруга дорівнює Вс= 5 мВ, а опір зворотного зв'язку дорівнюєРф2= 500 кОм Коли ΔеосΔ Т=1.3μV/KΔеосΔТ=1.3μВ/Кі невизначеність ≈ 0,057%.
За даними технічного спеціаліста компанії ART, невизначеність USB5630 становить ОГОЛОШЕННЯ = 0.1%. На закінчення, загальна невизначеність схеми становить 0,23%.
5.2 Неопределенность калибровки
Коэффициент излучения высокотемпературной печи черного тела в калибровочном эксперименте составляет 0,990. Отклонение температуры составляет менее 2 К. [ 18 ] В процессе калибровки используются стандартный пирометр и полостная печь черного тела, а погрешность квантования не превышает 0,3%. [ 21 ]
По результатам калибровки неопределенность калибровки составляет uс= 1,00 %
5.3 Неопределенность истинной температурной конструкции
В этой работе метод, используемый при построении истинной температуры, является вторичным методом измерения. Согласно ссылке, неопределенность построения истинной температуры составляет =1,00%.
5.4. Комбинированная неопределенность
Все причины неопределенности, проанализированные выше, суммируются в квадратуре, что приводит к объединенной неопределенности двумерного матричного пирометра, составляющей ≈1.43%.
6. Фактический измерительный эксперимент
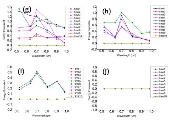
Двовимірний пірометр з матрицею, розроблений у цій роботі, використовується для фактичного вимірювального експерименту на високотемпературній печі. Температура високотемпературної печі встановлена на 1273 К. Сцена фактичного вимірювального експерименту показана на малюнку 13. Дані двовимірної мішені з матрицею (високотемпературна піч) складаються з даних загалом 100 цільових точок з десятьма поздовжніми осями (target1–target10) у десяти точках часу. Десять часових точок (time1–time10) становлять 49,46, 49,49, 49,53, 49,58, 49,61, 49,65, 49,68, 49,71, 49,75 і 49,81 після початку вимірювання. Енергетичний еквівалент, виміряний пірометром, показаний малюнку 14 . Справжня температура розраховується програмною частиною, а результати вимірювання істинної температури двовимірної матриці показані в Таблиці 2. Час роботи двовимірного матриценого пірометра при справжній температурі показано в Таблиці 3 .

Рисунок 13. Фактический эксперимент по измерению.


Рисунок 14. Энергетический эквивалент высокотемпературной печи (a–j) соответственно для target1–target10.
Таблица 2. Результаты измерения истинной температуры

Таблица 3. Истинное время работы при заданной температуре (https://www.mdpi.com/2076-3417/10/8/2888#table_body_display_applsci-10-02888-t003)
Из таблицы 2 видно, що похибка двовимірного матричного пірометра може досягати 143%..
У цій статті програмна частина обробки даних використовує багатопотокову паралельну обробку. 100 процесів істинної температури виконуються одночасно. Таким чином, максимальне значення часу роботи в Таблиці 3 являє собою загальний час, необхідний процесу справжньої температури двовимірного матричного пірометра, яке становить 304,769 мс, в той час як загальний час істинної температури 100 цільових точок з однопоточним методом становить 1330,220 мс. Час, що використовується багатопотоковим методом, на 77% менше, ніж час, що використовується однопотоковим методом. Крім того, двомірний матричний пірометр може безпосередньо сканувати та вимірювати справжню температуру двовимірної мети масиву без складних операцій позиціонування, що значно спрощує роботу та підвищує практичність двовимірного матричного пірометра.
7. Выводы
Невизначеність двовимірного пірометра з матрицею, розробленого у цій статті, становить 1,43%. Пірометр використовує комбінацію сканування з кількома цілями та обертання дзеркала для досягнення швидкого отримання даних двовимірного масиву. Під час отримання даних пірометра не потрібно переміщати. Порівняно із звичайними одноцільовими та багатоцільовими пірометрами робочий процес значно спрощений. У той же час двовимірний пірометр з матрицею використовує багатопотокову паралельну обробку, а час роботи зі справжньою температурою скорочується на 77% порівняно з однопотоковим, що підвищує ефективність роботи програмного забезпечення.
Вклады авторов
Концептуализация и написание — подготовка первоначального проекта, BS; методология, BS; программное обеспечение, BS; валидация, XS и JD; визуализация, ML и SC; получение финансирования, XS
Финансирование
Данное исследование финансировалось Национальным фондом естественных наук Китая (NSFC), номер гранта 61875046.
Ссылки
1. Cao, G.; Weber, S.; Martin, S.; Sridharan, K.; Anderson, M.; Allen, T. Спектральная излучательная способность сплавов-кандидатов для реакторов с очень высокой температурой в среде воздуха высокой температуры. J. Nucl. Mater. 2013 , 441 , 667–673. [ Google Scholar ] [ CrossRef ]
2. Jani, MA Измерение температуры материала с использованием бесконтактного метода. В Advanced Materials: Manufacturing, Physics, Mechanics and Applications ; Springer International Publishing: Cham, Switzerland, 2016; стр. 357–362. [ Google Scholar ]
3. Эсен, М.; Юксель, Т. Экспериментальная оценка использования различных возобновляемых источников энергии для отопления теплицы. Energy Build. 2013 , 65 , 340–351. [ Google Scholar ] [ CrossRef ]
4. Хан, MA; Аллеманд, C.; Игар, TW Бесконтактное измерение температуры. ii. Методы, основанные на наименьших квадратах. Rev. Sci. Instrum. 1991 , 62 , 403–409. [ Google Scholar ] [ CrossRef ]
5. Hagqvist, P.; Sikstrm, F.; Christiansson, A.-K.; Lennartson, B. Спектральная пирометрия с компенсацией излучательной способности и анализ чувствительности. Meas. Sci. Technol. 2014 , 25 , 025011. [ Google Scholar ] [ CrossRef ]
6. Xing, J.; Cui, S.; Qi, W.; Zhang, F.; Sun, X.; Sun, W. Алгоритм обработки данных для многоволновой пирометрии, который не требует предварительного предположения модели излучательной способности. Measurement 2015 , 67 , 92–98. [ Google Scholar ] [ CrossRef ]
7. Wang, H.; Chen, D.; Wang, G.; Long, Y.; Luo, J.; Liu, L.; Yang, Q. Технология измерения излучательной способности материалов в условиях высокотемпературного динамического нагрева. Measurement 2013 , 46 , 4023–4031. [ Google Scholar ] [ CrossRef ]
8. Fu, T.; Tan, P.; Pang, C.; Zhao, H.; Shen, Y. Быстрый волоконно-оптический многоволновой пирометр. Rev. Sci. Instrum. 2011 , 82 , 064902. [ Google Scholar ] [ CrossRef ] [ PubMed ]
9. Fu, T.; Liu, J.; Duan, M.; Zong, A. Измерения температуры с использованием многоцветной пирометрии в средах с тепловым излучением. Rev. Sci. Instrum. 2014 , 85 , 044901. [ Google Scholar ] [ CrossRef ] [ PubMed ] [ Green Version ]
10. Гарднер, Дж.; Джонс, Т.; Дэвис, М. Шестиволновой радиационный пирометр. High Temp. High Press. 1981 , 13 , 459–466. [ Google Scholar ]
11. Hiernaut, J.-P.; Beukers, R.; Heinz, W.; Selfslag, R.; Hoch, M.; Ohse, R. Субмиллисекундный шестиволновой пирометр для высокотемпературных измерений в диапазоне от 2000 до 5000 К. Высокая температура. Высокое давление . 1986, 18, 617–625. [Google Scholar]
12. Радоуски, Х.; Митчелл, А. Быстрый УФ/видимый пирометр для измерения ударной температуры до 20 000 К. Rev. Sci. Instrum. 1989 , 60 , 3707–3710. [ Google Scholar ] [ CrossRef ]
13. Левендис, YA; Эстрада, KR; Хоттел, HC Разработка многоцветных пирометров для контроля переходного отклика горящих углеродистых частиц. Rev. Sci. Instrum. 1992 , 63 , 3608–3622. [ Google Scholar ] [ CrossRef ]
14. Ng, D.; Fralick, G. Использование многоволнового пирометра в нескольких аэрокосмических приложениях с повышенными температурами. Rev. Sci. Instrum. 2001 , 72 , 1522–1530. [ Google Scholar ] [ CrossRef ] [ Green Version ]
15. Liang, M.; Sun, BJ; Sun, XG; Xie, JY; Yu, C. Разработка нового волоконно-оптического многоцелевого многоспектрального пирометра для достижимого истинного измерения температуры струи твердотопливного ракетного двигателя. Measurement 2017 , 95 , 239–245. [ Google Scholar ] [ CrossRef ]
16. Юань, Г.; Фань, З.; Сан, Х.; Дай, Дж. Метод приближения, основанный на яркостной температуре для многоспектрального термометра, в: Международный симпозиум по приборостроению и технологиям. Int. Soc. Opt. Photonics 2008 , 713309. [ Google Scholar ] [ CrossRef ]
17. Дай, Дж.; Сан, XG; Лу, XD; Конг, Д. Теория и практика многоспектральной термометрии ; Издательство высшего образования: Пекин, Китай, 2002; стр. 75. [ Google Scholar ]
18. Sun, XG; Yuan, GB; Dai, JM; Chu, ZX Метод обработки данных многоволнового пирометра для непрерывных измерений температуры. Int. J. Thermophys. 2005 , 26 , 1255–1261. [ Google Scholar ] [ CrossRef ]
19. Hamamatsu. Технический паспорт S1336-5BK[DB/OL]. Доступно онлайн: http://www.hamamatsu.com.cn/product/17583.html (дата обращения: 5 марта 2019 г.).
20. Sun, X.; Zhao, W.; Yuan, G.; Dai, J. Методы обработки данных в многоволновой термометрии. J. Harbin Inst. Technol. 2006 , 13 , 421–426. [ Google Scholar ]
21. Sun, K.; Sun, X.; Yu, X. Разработка многоспектрального термометра для измерения истинной температуры пламени взрыва. Spectrosc. Spectr. Anal. 2013 , 33 , 1719. [ Go
Магазин Gtest® - авторизований постачальник пірометрів в Україну: https://gtest.com.ua/izmeritelnye-pribory/pirometry
